Które napoje nawadniają najlepiej? Woda nie jest nawet na podium
Jeśli potrzebujecie uzupełnić płyny w swoim organizmie, to woda nie powinna być Waszym pierwszym wyborem. Według badań zdecydowanie lepszą opcją będzie mleko.

Zastanawialiście się kiedyś co najlepiej nawadnia Wasz organizm? To samo pytanie postawili sobie również naukowcy z Loughborough University, University of Stirling i Bangor University. Otrzymane przez nich wyniki są zaskakujące – woda nie znajduje się nawet na podium najefektywniejszych napojów.
Badania przeprowadzone przez grupę, w której skład wchodzili naukowcy z trzech brytyjskich uczelni. Na potrzeby eksperymentu zebrali oni grupę 72 mężczyzn (po 24 z każdej ze szkół) w przedziale wiekowym od 18 do 35 lat. Każdy z nich był zdrowy i wykazywał umiarkowaną aktywność fizyczną.
- Każdy z badanych dostał instrukcję, by nie jeść przez 8 godzin przed eksperymentem. Na godzinę przed testami musieli oni również wypić pół litra niegazowanej wody w 15 minut.
- Eksperyment obejmował łącznie 13 rodzajów napojów. Wśród nich znalazła się między innymi woda, Coca-Cola, kawa, herbata oraz sok pomarańczowy. Każdy z nich był trzymany w bardzo konkretnych warunkach.
- Badanie miało dość prosty przebieg. Każdy mężczyzna musiał przyjść do laboratorium. Tam po 10 minutach odpoczynku, miał pobieraną krew. Potem musiał on oddać mocz i się zważyć. Następnie w przeciągu 30 minut musieli oni wypić cztery rodzaje napojów (wodę i trzy inne losowe rodzaje).
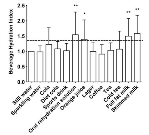
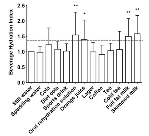
- Naukowcy następnie podzielili objętość moczu po wypiciu wody niegazowanej przez masę moczu wydalonego po spożyciu testowych napojów. Dzięki temu określili oni ile płynów jest zatrzymywanych w organizmie po wypiciu konkretnych rzeczy (BHI).
- W ten sposób udało się ustalić, że zdecydowanie najlepiej nawadnia mleko. Zaraz po nim uplasował się sok pomarańczowy oraz stosowany przez WHO doustny płyn nawadniający (ORS). Woda zajęła dopiero czwarte miejsce.

Efekt ten wynika z faktu, w jaki sposób nasz organizm przyswaja płyny. Im więcej elektrolitów znajduje się w napoju, tym lepiej przebiega cały proces. Nie dziwi więc, że bogate w minerały mleko tak dobrze poradziło sobie w badaniu.
Komentarze czytelników
ColdyChilly Chorąży
Top3 to mleko, napój izotoniczny i co ciekawe piwo bezalkoholowe.
adi182 Junior
Napoje izotoniczne i koktajle owocowe mogą być skutecznym sposobem na uzupełnienie elektrolitów i nawodnienie po intensywnym wysiłku fizycznym.
adamk5275027411 Junior
Może najpierw fakty nie mity. Badanie ukazało sie w The American Journal of Critical Nutrition, Vol.103, Iss.3 w Marcu 2016. Grant na badania dał European Hydration Institute. Prof. Maughan, który prowadził badania jest przewodniczącym board of trustees w tym instytucie. Sponsorem tego instytutu i finalnie sponsorem tego badania jest min. Coca-Cola company. Sami sprawdzcie a nie idziecie jak barany na postronku korporacji.
zanonimizowany1218483 Generał
Dalej na bosaka podróżuje?
Vie Pretorianin
Co nie musi być od razu złe, takie mleko jest całkiem wartościowym napojem.