

GOL-owy kalkulator, czyli - Matematyka - Królowa wszystkich nauk. Cz.11
Wątek ten poświęcony jest przede wszystkim wspólnej pomocy w rozwiązywaniu zadań matematycznych.
-------------------------------------------------------------------------------------------------------------
Regulamin:
- Piszemy tutaj tylko i wyłącznie zadania matematyczne (czyt. nie zbaczamy na na tematykę innych przedmiotów itd.) oraz odpowiedzi na konkretne np. równanie.
- W swych wypowiedziach zważamy na wszelkie znaki interpunkcyjne oraz ogólną logikę zdań.
- Wypowiadając się nie używamy wulgaryzmów oraz obraźliwych zwrotów w stosunku do innych użytkowników forum.
-------------------------------------------------------------------------------------------------------------
Polecana NOTACJA matematyczna:
Podstawowe symbole
+ - dodawanie
- - odejmowanie
* - mnożenie
/ lub ewentualnie : - dzielenie
^ - potęgowanie
Przykład: 3^(x-2)
sqrt() - pierwiastek kwadratowy (drugiego stopnia)
Przykład: 2+sqrt(3)
sqrt[n]() - pierwiastek n-tego stopnia
Przykład: 5-2*sqrt[3](7) ("pięć minus dwa pierwiastki sześcienne (pierwiastki trzeciego stopnia) z siedmiu")
[] () - nawiasy w kolejności od najbardziej zewnętrznych. Polecamy jednak używać tylko nawiasów okrągłych () - również zagnieżdżając jedne w drugie - gdyż nie powoduje to niejednoznaczności, a nawiasy kwadratowe [] mogą także oznaczać część całkowitą liczby.
UWAGA! Pilnuj, aby każdy otwarty nawias miał swoje zamknięcie! W przeciwnym razie wyrażenie jest praktycznie nie do odczytania!
Przykład: 1/(1+1/(1+1/(1+1/(...))))
inf - symbol nieskończoności
Litery greckie i inne symbole specjalne można zapisywać słownie lub dowolnym znakiem pod warunkiem opisania co on oznacza!
Ułamki zwykłe
Należy używać nawiasów aby licznik i mianownik były jednoznaczne.
Przykład: (3+7x)/(2y-5)
Przykład: 3+7x/(2y-5)
Przykład: 3+7x/2y-5
Powyższe przykłady NIE SĄ tożsame!
Ułamki piętrowe
Tu również należy używać nawiasów.
Przykład: (3+7x)/(2y-5/(17+2*z))
Liczby mieszane
Dla jednoznaczności liczby mieszane typu 3 1/2 ("trzy i jedna druga") należy zapisywać jako sumę, np. (3+1/2) - często będzie konieczne ujęcie jej w nawias - lub ułamek niewłaściwy, np. 7/2. Preferowany jest jednak zapis w postaci ułamka dziesiętnego (tam gdzie to możliwe, tzn. gdy ułamek taki nie będzie miał nieskończonego rozwinięcia dziesiętnego)
Przykład: (3+1/2)
Przykład: 7/2
Przykład: 3,5
-----------------------------------
Powyższa notacja jest wzorowana na składni LaTeXa. Nie polecamy jednak stosowania tej składni w pełnej wersji - forum GOL nie obsługuje markerów TeXa i nie przetwarza formuł, które z kolei są trudne do czytania przez ludzi.
-------------------------------------------------------------------------------------------------------------
Przydatne linki przy rozwiązywaniu zadań:
- http://www.matmana6.pl/
- http://www.poolicz.pl/
- http://www.obliczone.pl/
- http://www.wolframalpha.com/
- http://matematyka.pisz.pl/
-------------------------------------------------------------------------------------------------------------
Nowa część wątku zostanie utworzona po przekroczeniu 200 postów.
-------------------------------------------------------------------------------------------------------------
GOL-owi matematycy:
- lajtowy ziomek:) | Ogólnie: zakres wiedzy obejmujący materiał do klasy 3 Liceum. Chętnie pomogę z funkcji kwadratowej oraz wszelkich równań, nierówności. Słabość - Geometria. :P
- Filevandrel | Cały materiał LO i materiał z 2 lat studiowania elektroniki, łapać na maila [email protected] zawsze chętnie odpiszę!:)
- tomazzi | podstawówka, gimnazjum, liceum, co nie co ze studiów. Lubię zadania na rozkminkę :P
- DEXiu | cały zakres do szkoły średniej włącznie; matematyka "wyższa" na poziomie studenta uczelni technicznej (nie matematyki na uniwerku:) - mat. dyskretna, geometria, analiza, algebra, statystyka, probabilistyka; bardzo chętnie zadania i zagadki logiczne
- Maco | Zakres do LO i troszkę matematyki wyższej | Pięta achillesowa - trygonometria
- $ebs Master | Zakres - liceum, studia bez prawdopodobienstwa
- Łysy. | Cała rozkminka aż do liceum, szczególnie lubię geometrię. Potem analiza, algebra, podstawy dyskretnej, podstawy probabilistyki.
- Mathmi Thenthur | matematyka na poziomie szkoły średniej plus studia ekonomiczne: analiza, algebra, statystyka, rachunek prawdopodobieństwa; wybitnie nie lubię geometrii
- jagged | Zakres szkoły średniej + semestr informatyki na EAIiE (AGH) + wciąż studia informatyczne na Politechnice
-------------------------------------------------------------------------------------------------------------
Linki do bannerów:
- http://img685.imageshack.us/img685/9937/bannermatematyka.jpg ~by A's
- http://img232.imageshack.us/img232/9959/bannerme.png ~by lajtowy ziomek
- http://img842.imageshack.us/f/matma2j.jpg/ ~by A's
-------------------------------------------------------------------------------------------------------------
Poprzednia część:
https://www.gry-online.pl/forum/gol-owy-kalkulator-czyli-matematyka-krolowa-wszystkich-nauk-cz10/z5b2508d?N=1
http://matma4u.pl/topic/5245-obliczyc-rozwiazania-ogolne-i-wszystie-rozwiazania-bazowe/
Ktoś wie może dlaczego przy Wx1 jest = 148x2 - 82
chodzi mi konkretnie o to 82. Skąd to się tam wzięło?
@up
Ponieważ w tej macierzy (Wx1) kolumna pierwsza składa się z liczby i niewiadomej, tą różnicę traktujemy jako jeden wyraz tzn przy liczeniu: (1-4x)*11*4+5*2*(5-12x)+...
StaryWyjadasz ---> Po przemnożeniu wartości w macierzy powinieneś otrzymać:
44 - 176x2 + 63 - 168x2 + 50 - 120x2 - 165 + 396x2 - 14 + 50x2 - 60 + 160x2
A no tak, on liczy normalny wyznacznik. Myślałem że chodzi o bardziej skomplikowaną operację. Dzięki.
Mam jeszcze jeden problem z rozwiązaniem bazowym, może ktoś wie jak się coś takiego wykonuje
1. Ile może posiadać rozwiązań bazowych układ równań, którego rozwiązanie ogólne jest postaci
-->
x1 = 1-7a+b
x2 = 2a+2b
x3 = 3
x4 = a nalezy do R
x5 = b nalezy do R
Z tego co pamiętam robiło się do tego jakąś tabelkę, ale nie mogę znaleźć podobnego zadania w necie, z jakimś rozwiązaniem.
up.
Nie pamiętam dokładnie tematu i nie mam teraz czasu na zagłębianie się więc podaje linka, w którym jest to chyba dobrze opisane.

Dlaczego to jest zle? Przeciez wylaczam przed całke 1/7 zeby w mianowniku uzyskac x^2+1...
Eh, zapomnialem dodac linka...
Niestety teraz, z poziomu telefonu tego nia mam jak zrobic.
[10] Wszystko jest dobrze, tyle że na końcu zapomniałeś o tym, że pochodna z t/sqrt(7) nie jest równa 1 tylko 1/sqrt(7). Dlatego, gdy zamieniasz całkę z 1/((t/sqrt(7))^2 + 1) na arctg(t/sqrt(7)) musisz to pomnożyć jeszcze przez sqrt(7), żeby zniwelować powstały czynnik do jedynki. Jeśli nie wiesz czemu tak, to wyznacz pochodną z samego arctg i zobacz, co otrzymasz.
[12] juz sobie poradziłem, dzięki.
Mam problem z wyliczeniem odchylenia standardowego składnika resztowego. Wiem oczywiście co to odchylenie standardowe, ale nie mam pojęcia z czego mam je obliczyć, czym jest ten składnik resztowy? Suche wzory i regułki z wikipedii za bardzo mi nie pomagają. Jakiś tip?

Obliczasz wariancję składnika resztowego ze wzoru podanego obok, potem pierwiastkujesz i otrzymujesz odchylenie standardowe składnika resztowego, czyli tzw. średni błąd szacunku.
n to liczebność próby, k to liczba parametrów funkcji regresji, a x z daszkiem to funkcja regresji zmiennej X względem Y - do tego też są wszystkie wzory podane w necie.
Sory jagged, nie ogarniam :P Mam jakieś dwie serie danych w excelu:
X Y
1 1
2 2
3 3
4 4
5 5
i teraz lopatologicznie, co, z czym, do czego. Jeśli łaska :)
Wszystko co tu piszę jest dla zmiennej X względem zmiennej Y. Można też obliczać odwrotnie - po prostu zamienić w każdym wzorze x z y.
1. Obliczasz x z daszkiem (X_zD), aby to zrobić potrzebujesz b1 i b0:
1.1. Tworzysz kolumnę obok tych dwóch X Y o nazwie (X-Xśr)*(Y-Yśr) oraz (Y-Yśr)^2. Musisz obliczyć jeszcze wartości średnie Xśr, Yśr, ale do tego wystarczy użyć funkcji ŚREDNIA, a reszta to już odejmowanie.
1.2. b1 = SUMA[(X-Xśr)*(Y-Yśr)]/SUMA[(Y-Yśr)^2], b0 = Xśr-b1*Yśr, sumujesz oczywiście wartości w danej kolumnie funkcją SUMA.
2. Obliczasz SUMA[(X-X_zD)^2]/(n-k) według wzoru z [16], pierwiastkujesz i masz wynik. n w Twoim przypadku równa się 5, a k z tego co wiem 2, ale tego nie jestem pewiem - tak mi babka podała po prostu na zajęciach, więc u Ciebie może jest tak samo. ;)
Akurat miałem ostatnio na zajęciach to, czego potrzebujesz i zrobiłem już z tego sprawozdanie, więc możesz skorzystać. :) Wyliczone tam jest dużo więcej rzeczy niż potrzebujesz, ale są wzory i wszystko, więc tylko podstaw swoje dane i wyłów potrzebny Ci wynik.
http://speedy.sh/32pDy/regresjaitp.xls
Suuuuper, wielkie dzięki!
Zastanawia mnie tylko to: k z tego co wiem 2, ale tego nie jestem pewiem - tak mi babka podała po prostu na zajęciach, więc u Ciebie może jest tak samo.
O co chodzi z tym "2"? To jest jakaś stała wartość stosowana niezależnie od ilości danych czy skąd to się bierze?
Edycja się skończyła.
Wyliczone tam jest dużo więcej rzeczy niż potrzebujesz, ale są wzory i wszystko, więc tylko podstaw swoje dane i wyłów potrzebny Ci wynik.
No właśnie coś bardzo podobnego robiłem i zostało mi tylko to odchylenie składnika resztowego i współczynnik zmienności resztowej ;P
Przy okazji po podstawieniu do Twojego arkusza, wyszło mi że pozostałe wyniki zgadzają się z moimi wcześniejszymi wyliczeniami, a więc gitarra :D
K to liczba szacowanych parametrów regresji.
Jeżeli masz w równaniu regresji dwie zmienne objaśniające: wyraz wolny oraz x, to k=2.
Jeżeli masz w równaniu regresji dwie zmienne objaśniające: wyraz wolny oraz x, to k=2
Dokładnie tak. A więc już wszystko jasne.
Dzięki Mathmi i jagged raz jeszcze.
dla jakich n nalezacych do naturalnych ( razem z 0 ) prawdziwa jest nierownosc n^2 < 3^(n-1)
Da sie to jakos indukcja obliczyc ?
[23] Coś mi indukcją nie chce to wyjść. Najłatwiej to chyba narysować i zauważyć, że odpowiedzią jest [0 ; 1) u (3 ; +niesk).
Witam, jakby ktoś miał czas, to takie banalne zadanko z 2 klasy liceum z funkcjami kwadratowymi, nad którymi k**** myślę i mi nie wychodzi.
Napisz wzór funkcji kwadratowej f w postaci ogólnej i iloczynowej, jeśli wiadomo, że funkcja f spełnia jednocześnie trzy warunki:
- suma miejsc zerowych f wynosi 8
- zbiorem wartości funkcji f jest przedział <-4,5; inf)
- największa wartość funkcji f w przedziale <-3, 2> wynosi 20.
[26]
x1+x2 = 8 = -b/a - pierwsze równanie.
Zw = <-4,5 ; inf), czyli wierzchołek jest w punkcie (x ; -4,5).
Skoro to fcja kwadratowa ze zbiorem wartości jw. to znaczy, że ma ramiona skierowane do góry, czyli największa wartość w przedziale <-3 ; 2> będzie na pewno na którymś z krańców: f(-3) = 20 albo f(2) = 20, można podstawić do wzoru ax^2 + bx + c = 20 najpierw jedno, obliczyć, potem drugie, obliczyć - i masz drugie równanie.
Wierzchołek to punkt (-b/2a ; -delta/4a), porównując z drugą linijką - masz trzecie równanie. Otrzymałeś układ 3 równań z 3 niewiadomymi.
Jak ma niby wyglądać to 2 i 3 równanie?
Ale jak zrobić równanie z punktu niby? Mam tylko, że X=-b/2a i -4,5=-delta/4a
I przede wszystkim jak je obliczyć...
-b/a = 8
-(b^2-4ac)/4a = -4,5
9a-3b+c = 20 albo 4a+2b+c = 20
Wychodzi, że ta fcja w przedziale <-3 ; 2> jest stale malejąca, więc max jest w pkcie f(-3), więc wykorzystujesz pierwsze równanie z tego albo albo.
Dzięki za podpowiedź. Ale i tak oczywiście mi nic nie wyszło
[31] - doszedłem do tego, niestety wynik się nijak nie zgadza. Idę myśleć jak to poprawić.
zaiste zajebiste podejscie
z pierwszego rownania wylicz a, podstaw do pozostalych i masz z dwoma....
Trochę wyższa matematyka, ale co mi szkodzi, może ktoś pomoże. Zna ktoś wzór (z tłumaczeniem skąd się to wzięło, albo przynajmniej link do jakiegoś źródła bo wujek google zawodzi mnie :( ), na długość krzywej trójwymiarowej z = f(x,y) (której rzut jest zapisany funkcyjnie y = g(x) ofc)?
Chyba cofam się w rozwoju ... Pomocy.
Mamy pewną liczbę - 2 335 392 (przyjmujemy że to jest 100 %)
trzy kolejne składają się na jej sumę, mianowicie:
296 240
1 267 296
771 856
W jaki sposób wyliczyć ile np pierwsza liczba (296 240) stanowi procent sumy......
Wytłumaczcie tak kali jeść, kali spać ...
ile pierwsza liczba stanowi procent z calosci?
296240/calosc * 100%
no ale chyba nie o to chodzi bo byloby za latwe
Mam prośbę. Potrzebuje łatwych równań kwadratowych z parametrem na poziomie I kl. LO (poz. rozszerzony) z jakiegoś zbiorku czy czegoś, do przećwiczenia do jutrzejszego sprawdzianu. Mile widziane także odpowiedzi.
Wielkie dzięki. O takie coś mi chodziło.
^ Otrzymałeś przecież 0/0, czyli symbol nieokreślony - skorzystaj z l'Hospitala i wyjdzie.
edit. A dokładniej: raz l'Hospital, przekształcenie mianownika, drugia raz l'Hospital, koniec. :)
No, dobra - ale wrzuć ten nawias do licznika i masz 0/0, czyli to co chcesz, bo to oznacza, że możesz skorzystać z ww. reguły.
W granicy w mianowniku mial byc (sinx)^2, a nie sin^(2x) oczywiscie.
Tak też liczyłem i otrzymujesz odpowiedź po 2 l'Hospitalach.
Z l'Hospitala korzystasz z pierwotnej funkcji, czyli tej u samej góry, bo tam też, gdy podstawisz granicę = 0, to wychodzi 0/0.
spoiler start
[ (e^(2x) + e^(-2x) - 2)/(sinx)^2 ]' = (2e^(2x) - 2e^(-2x))/(2sinx * cosx) = (2e^(2x) - 2e^(-2x))/(sin2x)
[ (2e^(2x) - 2e^(-2x))/(sin2x) ]' = (4e^(2x) + 4e^(-2x))/(2cos2x) = 2 * (e^(2x) + e^(-2x))/(cos2x)
Po podstawieniu x->0: 2 * (1+1)/(1*1) = 4
spoiler stop
W granicy w mianowniku mial byc (sinx)^2, a nie sin^(2x) oczywiscie.
Ok, dzieki za pomoc.
pomożecie ?
Jakie podzbiory ma zbiór N, N
// N to symbol liczb naturalnych

Jak sie za to zabrac najsprytniej z de'l'hospitala?
Gdy zastosuje to przy gwiazdce (*), to wychodzi granica z [ln(1+x)]/[1/lnx]. Mam wtedy nieoznaczonosc typu 0/0, licze pochodna licznika i mianownika i wychodzi mi coraz wiekszy kosmos (tak jak pochodna mianownika to pochodna iloczynu funkcji).
No i czemu nie policzysz tego dalej? Po drodze 3 razy de l'Hospital i wychodzi co miało wyjść. Wcale nie robią się "coraz większe kosmosy".
Pomógł by mi ktoś?
Rozwiąż równanie - 8x3-7x2-4+28=0
Z góry bardzo dziękuje.
pogrupuj
pawloki ==> Może być problem, bo ten wielomian nie ma pierwiastków wymiernych, a wg Wolfram Alpha jedyny pierwiastek jest dość... dziwny ;) Więc z grupowania nici. Zostają wzory Cardano.

Zadanie: korzystajac z interpretacji geometrycznej modulu roznicy liczb zespolonych zaznacz na plaszczyznie zespolonej:
Moje pytanie jest takie: na czym polega zaznaczone przejscie? (tam, gdzie znak zapytania). Co zostalo zrobione ze otrzymano to co otrzymano?
Ja to zrobilem tak i okazalo sie ze jest to zle:
wiadomo z = x + y*i
|z*i +1|<2
|(x+yi)*i+1|<2
|x*i - y + 1|<2 <- wykonalem mnozenie przez i, wiec zmienila mi sie czesc rzeczywista z zespolona. Dalej x to bedzie czesc zespolona, a y - rzeczywista.
Teraz modul liczby zespolonej to pierwiastek z [ x^2 + y^2]
czyli mam:
sqrt [x^2 + (-y + 1)^2] <2
obustronnie do kwadratu:
x^2 + (-y + 1)^2 < 4
obustronnie dodaje 3:
x^2 + y^2 - 2*y +4<7
x^2 + (y-2)^2 < 7
Otrzymuje zbior punktow ograniczonych okregiem o promieniu sqrt(7) i srodku w punkcie (2,0) na plaszczyznie zespolonej (pierwsza wspolrzedna to wspolrzedna rzeczywista, druga to zespolona).
Pytanie brzmi: dlaczego to jest zle?
Błąd w ostatnim przejściu, powinno być x^2 + (y-1)^2 < 7. Nie wiem czy to coś zmienia, bo przeanalizowałem na razie tylko Twoje działania. Zresztą (-y + 1)^2 to jest to samo co (y - 1)^2, więc nie ma sensu dodawać 3 i tego bardziej komplikować.
Nie ma, jest to bez sensu.
Prawidłowa odpowiedź to x^2+(y-1)^2<4
Co nam wyznacza koło bez brzegu o środku w (0,1) (lub w i) i promieniu 2.
Prosiłbym o pomoc w tym zadaniu ->
[ed.]
Wymiar lewej ściany dorysowanego trójkąta to 6 jakby ktoś nie mógł się doczytać.
z calego duzego trojkata z tw. pitagorasa wyliczasz dolna przyprostokatna, potem od tej liczby odejmujesz 5 i masz przyprostokatna tego przerywanego trojkata, no i x tez z tw. pitagorasa
mam nadzieje ze dosyc jasno napisane :D

Znalezc wszystkie ekstrema lokalne f(x).
No wiec licze pochodna i aby istnialo ekstremum to wiadomo, tylko w punktach krytycznych czyli MOZE istniec tam dzie pochodna = 0 albo tam, gdzie pochodna nie istnieje.
Z pochodnej zera nie zrobie, bo mam zmienna w mianowniku. Wiec zostaje druga opcja. Ekstremum jest dla x=2, tylko jak to obliczyc? Wg wolframa oczywiscie do x=2 funkcja rosnie, potem maleje.
Czyli najpierw pochoda dodatnia, potem ujemna. Problem w tym, ze patrzac na wzor na pochodna tej funkcji nie da rady zrobic pochodnej dodatniej, bo dziedzina tej pochodnej to (od 2 do +nieskoczonosci).
[58] Z tego co mi wiadomo dziedziną pierwiastka o stopniu nieparzystym - czyli np. 5-stopnia, tak jak w tym przypadku - jest cały zbiór liczb rzeczywistych (oczywiście tutaj mamy również ułamek, więc należy wykluczyć x=2). Sprawdźmy: dla x=-30 mamy sqrt[5](-32) = -2, bo (-2)^5 = -32, wydaje się być poprawnie.
Wystarczy więc obliczyć pierwszą pochodną tak jak to zrobiłeś, obliczyć wartość funkcji w punkcie ekstremum x=2 (f(2)=1), a następnie np. wziąć dwa punkty różne od 2 (np. x=1 i x=3) i zobaczyć, że dla nich funkcja przyjmuje mniejsze wartości (f(1)=f(3)=0), więc to ekstremum to maksimum. Albo obliczyć drugą pochodną funkcji i zobaczyć, że jest ona ujemna dla x różnego od 2, więc wnioski są takie same.

Jest tu ktoś ambitny, kto potrafi zrobić przykład, który zagiął nawet Wolframa? :P
spoiler start
Wydaje mi się, że trzeba użyc tw. o 3 ciągach, ale głównie w tym zadaniu trzeba było używać (1+1/n)^n = e
spoiler stop
[60] Mnie wyszło e. Zaraz wrzucę screena.
http://imageshack.us/photo/my-images/600/zdjcie0526pv.jpg/
Ja sobie sprawdziłem do czego zbiegają wszystkie podciągi. Zaraz jeszcze rozpiszę tw. o 3 ciągach.
http://imageshack.us/photo/my-images/714/zdjcie0531p.jpg/
Sprawdzałem i wyszły mi nierówności w tą stronę.
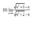
[63] Chciałoby się podzielić wszystko przez n, ale wtedy nam wyjdzie granica 0/0.
Rozwiązanie: pomnóż licznik i mianownik przez sqrt(n^2+2)+n, czyli przez prawie to samo co w mianowniku. Na dole wyjdzie Ci wtedy 2(ze wzoru skróconego mnożenia). Górę już sam wyliczysz.
log(2)x = log(sqrt2)2 - 1/2log(3)4 + log(3)6 + log(3)3
no i tutaj po prawej ten z pierwiastkowa podstawa sprowadzam do podstawy 3, ale pojawia sie problem bo pojawia sie dzielenie
log(3)2/log(3)sqrt2
jak mam to podzielic? przeciez nie ma wlasnosci na dzielenie
w nawaisach dalem podstawy logarytmu, z gory dzieki z apomoc
[65] Niepotrzebnie się zamotałeś - log(sqrt2)2 to po prostu 2, a log(3)3 to 1. Zostają Ci wtedy dwa logarytmy, które w łatwy sposób można sprowadzić do tej samej podstawy i rozwiązać zadanie.

Jak obliczyć sumę tego szeregu? Ogólnie może mi ktoś wytłumaczyć na czym to polega? Wyliczyłem kilka wyrazów to będzie to ln z ułamków zbliżających się do 1, ale dalej nie mam pojęcia jak to robić.
jagged
faktycznie, nie zwrocilem kompletnie uwagi.... dzieki wielkie (ktory to juz raz? :D)
Zbadać zbieżność całki
http://imageshack.us/photo/my-images/545/calka2.jpg/
Ktoś wie jak to się robi?
[67] Można to zapisać jako ln((n^2+2n+1-1)/(n+1)^2 = ln(1 - 1/(n+1)^2), co pomoże pewnie w rozwiązaniu. Nie wiem dokładnie jak rozwiązywać tego typu zadania, ale odpowiedzią jest zapewne -1, bo wraz ze wzrostem n do nieskończoności obliczamy logarytm z coraz większego ułamka zmierzającego do jedynki, czyli logarytm zmieża do 0 od strony ujemnej, czyli suma tego wszystkiego to będzie -1, a przynajmniej tak mi się wydaje na logikę, ale tak jak mówię nie wiem jak to zapisać matematycznie. ;)
edit. Nie wiem czy takie coś wystarczy, ale lim[n->inf](1 - 1/(n+1)^2) = 1, a ln(1) = 0, więc suma tego szeregu wynosi 0.
http://pl.wikipedia.org/wiki/Ca%C5%82ka_niew%C5%82a%C5%9Bciwa
int e^1/xdx/x
t=1/x
dt= -x^-2dx
-int e^tdt = -e^1/x + C
Przejscie graniczne
-e^1/x |infty/1 = -e^0 + e = -1 + e
Całka jest zbieżna.

[70] - czyli byłem na dobrym tropie :P Dzięki.
Nie chcę wyjść na nieroba, ale z szeregami mam naprawdę duży problem, często wydaje mi się, że dobrze robię, a tu wychodzi źle, a brak odpowiedzi do tych zadań jeszcze bardziej mnie irytuje. Załączam tu więc listę i chciałbym prosić o jakieś wskazówki typu z jakiego kryteria robić dany przykład i przy okazji spytam czy dobrze myślę nad niektórymi z tych. W zadaniu trzeba zbadać zbieżność szeregów, poprawcie proszę jeśli robię źle.
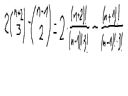
4.19 - rozbieżny, bo sin1/n zbiega do 0, a cos0 = 1 (?)
4.22 - zbieżny, bo tg1/n zbiega do 0, a sin0 = 0 (?)
4.25 - z D'Alamberta?
4.27 - tutaj nie wiem nawet od czego zacząć
4.28 - nie wiem...
4.33 - z Cauchy'ego i co dalej?
4.34 - nie wiem co zrobić z tym tg
4.42 - rozbieżny, bo n^(1/n)->1 i arctg1=1 (?)
4.47 - rozważyć 2 przypadki i z Cauchy'ego? Tylko co z tym sinusem znowu?
4.49 - sinus tu zbiega do 0, a n^2 do inf i wychodzi rozbieżny?
[72] Nie rozwiązywałem tych zadań, ale kilka uwag tak na szybko. Potem dopiszę resztę:
4.19 Ok.
4.22 Jeśli szereg zbiega do 0, to warunek konieczny zbieżności nic nie rozstrzyga także trzeba spróbować pewnie jakiegoś kryterium porównawczego.
4.25 Gdy w szeregu występuje silnia, to zazwyczaj używa się kryterium d'Alamberta, bo (n+1)! można rozpisać jako n!*(n+1) i fajnie skrócić.
4.27 Tu nie wiem czy kryterium Dirichleta nie zadziała. Rozdziel szereg na dwa: sqrt(n)/n^2 i sin(sqrt(n)) i powinno wyjść.
4.28 Nie wiem, ale pewnie coś podobnego jak przykład powyżej.
4.33 Z Cauchy'ego wyliczasz granicę i wychodzi ona mniejsza od 1, więc szereg jest zbieżny.
Mam pytanie z chemii:
czy można tylko na podstawie układu pierwiastkowego stwierdzić, który gaz ma większą gęstość? Na przykład:
H2S czy Br2
He czy HCl
N2O czy Ne
moglby ktos szybko sprawdzic czy dobrze?
http://www.fotosik.pl/pokaz_obrazek/75a8b81089401833.html
bo w odpowiedziach mam ze tylko 2 jest rozwiazaniem i nie wiem dlaczego :/
z gory dzieki
Valem ---> Spójrz na wykres z linka i wyciągnij wnioski. Dla jakich argumentów x, logarytm przyjmuje wartości ujemne? Jakie argumenty Tobie wyszły przy założeniu, że |log2x| < 0?
http://upload.wikimedia.org/wikipedia/commons/7/73/Logarithms.svg
nie ma takiego x'a zeby log byl mniejszy od zera, tak? kurde, znam wlasnosci ale jakos w tym przypadku male zacmienie
EDIT
a skoro nie ma takiego x'a to rozwiazaniem drugiego warunku jest zbior pusty?
ujemne :D czyli jak mam ten modul rozpisac?
moglbys od poczatku jakos na kartce zrobic ten przyklad i wrzucic?
mi ciagle wychodzi 8 w jednym przypadku i nie wiem dlaczego :/ moglbys zrobic?
^
Wszystko dobrze, tylko przy tym rozdzieleniu wartości bezwzględnej musisz od nowa wyznaczyć dziedzinę. W przypadku, gdy |log_2(x)| > 0 dziedziną jest x>1, a gdy |log_2(x)| < 0 dziedziną jest x<1 co z uwzględnieniem dziedziny ogólnej wygląda tak: 0<x<1. I teraz wszystkie odpowiedzi, które otrzymasz musisz sprawdzić, czy mieszczą się w danej dziedzinie. W przypadku lewym - wszystko gra, po prawej odpowiedzią mogą być tylko ułamki, więc nie ma poprawnych odpowiedzi.
gdy |log_2(x)| < 0 dziedziną jest x<1
a nie przedzial od 0 do 1?
czyli po prostu do tego co mam po lewej na samym poczatku napisac gdy |log_2(x)| > 0 i zastrz. ze x > 0
a w tym co mam po prawej gdy |log_2(x)| <0 i zastrz ze x nalezy do przedzialu od 0 do 1 ?
wiem juz o co chodzi tylko nie wiem jak to mam uwzglednic w moim przykladzie dlatego sie pytam :)
Przecież napisałem to dokładnie do Twojego przypadku. I czytaj zdania do końca: "a gdy |log_2(x)| < 0 dziedziną jest x<1 co z uwzględnieniem dziedziny ogólnej wygląda tak: 0<x<1."
[84] wyłącz 10 w mianowniku. Po drugie nie ma takiej całki, zapomniałeś o dx na końcu. No i w wyniku stała C.
Analizę już mam z głowy, teraz więc pytanie z matematyki dyskretnej :P Oto ono:
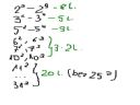
Ile jest liczb naturalnych w przedziale <1,1000> które są potęgami liczb naturalnych większych od 1?
spoiler start
Mi wychodzi cały czas 42, a ponoć ma być 50.
spoiler stop
Chudy ==> 50 wychodzi, gdy nie sprawdzamy po kolei "czy liczba jest którąś potęgą jakiejś liczby naturalnej?", tylko dodamy wprost liczbę wszystkich kwadratów, sześcianów, czwartych, piątych, ..., dziewiątych potęg. Ale wydaje mi się, że nie o to pytają.
jagged - np. 8 jest trzecią potęgą 2.
Dexiu - ja to zliczałem tak jak na obrazku. Nie liczyłem tam powtarzających się liczb (potęg 4, 8, 9, 25), temu wychodzi 42. Rozwiązaniem z tego co wiem jest 49 albo 50, miałem takie zadanie na egzaminie i napisałem wtedy 42, a wczoraj się dowiedziałem, że trzeba było też liczyć te co się powtarzały. No cóż, źle sformułowane zadanie i tyle :P Na szczęście już mam za sobą ten "rozdział" ;p Dzięki za odzew.
EDIT: jagged - Zapomniałem w tamtym poście dopisać, że chodziło o wykładniki naturalne i większe niż 1, czyli pierwiastki nie wchodzą w grę.
To weźcie również pod uwagę, że 1 jest zerową potegą każdej liczby, a np. 4 jest 1/2-potęgą 16...
Czy mógłby mi ktoś rozwiązać te 3 przykłady z granicy ciągów bez błędów? Na zajęciach miałem tylko kilka podstawowych przykładów.
Proszę o pomoc, bo nauczyciel kompletnie nie potrafi tłumaczyć.
Znajdź obraz prostej będącej wykresem funkcji y=-x+2 w symetrii względem
a) osi OX
b) osi OY
Proszę o jakieś wytłumaczenie na przykładzie. Z góry dziękuje.
a) osi OX
Wyobraź to sobie na wykresie. Symetria względem osi OX, czyli jakbyś odbił wykres wzdłuż poziomej osi - to co nad osią idzie pod nią i na odwrót. Zmienią się przy tym wartości y, które funkcja będzie przyjmować. Musisz więc po prostu napisać wzór na -y (oczywiście nadal będzie y=..., ale tak to sobie najłatwiej wyobrazić). W Twoim przypadku będzie to: y=-(-x+2)=x-2. Najzwyczajniej w świecie mnożysz wzór funkcji przez -1.
b) osi OY
Tutaj odbijasz wykres wzdłuż pionowej osi - to co po prawej stronie osi idzie na lewą i na odwrót. I oczywiście zmienią się teraz wartości x, które funkcja będzie przyjmować. Wzór tworzy się nawet jeszcze prościej, bo wystarczy zmienić znak TYLKO przy x, czyli w Twoim przypadku: y=-(-x)+2=x+2. Należy pamiętać, aby zmienić znaki przy każdym x - z minusa na plus lub z plusa na minus. Tyle.
Czy mógłby ktoś wykonać pod punkt a i b z zadania 6.31?
http://www.lozbjn.pdt.pl/ik/matematyka/kl_2/izometrie_1.pdf
Zrobilem to sam, ale nie jestem w 100% pewien czy zrobiłem to poprawnie.
+ jeszcze jedna prośba
mam za zadanie wyznaczyć równanie prostej będącej obrazem prostej o równaniu y=-x + 3
względem punktu S(3,3)
Proszę o pomoc, bo nie mogę do tego dojść :<

Na obrazku zamieściłem jak to wygląda. W praktyce, jeśli chcesz odbić prostą względem jakiegoś punktu, najlepiej wyobrazić sobie(albo nawet narysować) prostą równoległą do podanej i przechodzącą przez dany punkt. Następnie rysujemy obraz naszej prostej po "drugiej stronie" naszej prostej przechodzącej przez punkt, względem którego mamy dokonać odbicia. Obraz prostej powinien się znajdować w takiej samej odległości od punktu S.
Jeśli więc mamy prostą(oznaczoną u mnie) y1=-x+3 i punkt S(3,3) to prosta równoległa i przechodząca przez punkt S ma wzór y2=-x+6. Skąd się wziął ten wzór? Prosta ma przechodzić przez punkty (3,3) więc te wartości podstawiamy pod x i y. Prosta ma być równoległa więc współczynnik kierunkowy a pozostaje niezmienny. Zostaje nam więc wyliczenie współczynnika b. Łatwo stąd wywnioskować, że o odległości między prostymi równoległymi będzie decydował współczynnik b. Odległość miedzy prostymi y1 i y2 wynosi 3 ponieważ jeśli porównamy te dwie proste to taką różnicę otrzymamy.
Skoro więc obraz ma się znajdować w takiej samej odległości od punktu S(3,3) to różnica między y2 a y3(czyli prostą będącą obrazem) też musi się równać 3. Stąd wniosek, prosta będąca obrazem ma postać y3=-x+9
najpierw licze ax + b dla y= -x +3 a potem dla y = -x +6 ? Czy jak, bo nie do końca rozumiem Twoją, wypowiedź.
W tłumaczeniu nigdy dobry nie byłem :)
Żeby Ci było łatwiej możesz sobie obrać dwa punkty leżące na prostej i odbić je względem punktu S. Następnie ustalić wzór prostej przechodzącej przez te dwa punkty. Tutaj możesz np. wziąć punkty gdzie x albo y przyjmuje zero. Czyli punkty (0,3) i (3,0). Dla nich łatwo będzie Ci znaleźć odbicie.
Odbiciem punktu (0,3) względem S(3,3) będzie punkt (6,3). Natomiast odbiciem punktu (3,0) względem S(3,3) będzie punkt (3,6). Są to więc punkty leżące "po drugiej stronie" punktu S.
Teraz wystarczy podstawić je do równania i wyliczyć współczynniki:
-dla punktu (6,3) -> 3=6a+b
-dla punktu (3,6) -> 6=3a+b
Wystarczy, że wyliczysz "b" bo "a" musi być takie samo o czym wspomniałem wcześniej.
Mam dość proste pytanie, mam działanie:
(2x-1)^2 czyli a^2 - 2ab + b^2 Mam problem z -2ab. Sprawdziłem wynik w Wolphram Alpha i wynik działania to 4x^2 -4x +1 Jednak nie wiem skąd wzięło się to -4x. Gdy ja liczę to wychodzi mi coś takiego:
-2*2x*-1 = -4x*-1 = 4x Jaki popełniam błąd? Minus powinno się i tak dostawiać po działaniu?
[101] jeśli tego nie widzisz z wzoru skróconego mnożenia to spójrz na to inaczej
(2x-1)^2 = (2x-1)(2x-1)
(a-b)^2 = (a-b)(a-b) = a*a + a*(-b) + (-b)*a + (-b)*(-b) = a^2 - 2ab + b^2
edit. A, ok - wiem, gdzie robisz problem. W tym działaniu: -2*2x*-1 nie powinno być -1 tylko 1, bo to jest to b ze wzoru, a minus oznacza działanie, a nie znak przy liczbie.
|3tg2x|= pierwiastek3
mi wychodzi pi/12 + Kpi; v -pi/12 + Kpi a w odpowiedziach jest pi/12 + Kpi/2 v -pi/12 + Kpi/2
pi to pi, wiecie co to :P
Ktoś ma jakiś pomysł?
Dzięki, już do tego doszedłem wczoraj
pomoże ktoś o to zadanie
dla jakich wartości parametru m równanie 2^x+2^(x-1) 2^(x-2)+...=2^(2x-1) ma dwa różne rozwiązania
tam na końcu powinno być jeszcze +m
2^x + 2^(x-1) + 2^(x-2) + ... = 2^(2x-1) + m
2^x * (1 + 1/2 + 1/4 + ...) = 2^(2x-1) + m
2*2^x - 1/2*2^(2x) - m = 0 /*(-2)
2^(2x) - 4*2^x + 2m = 0
t = 2^x, t>0
t^2 - 4t + 2m = 0
detla = 16 - 8m
2 rozwiązania <=> detla>0 <=> 16 - 8m > 0
m<2
Z racji tego iż fcja 2^x jest różnowartościowa, dla danego t otrzymamy tylko jeden możliwy x.

Jak wykazac algebraicznie, a nie kombinatorycznie, ze to jest prawdą?
[111] podpowiem.
Całego nie robię bo mi się nie chce :p
No ludzie... to nie jest zadna przelomowa podpowiedz, tez umiem to tak zapisac. Ale niestety nie wiem jak z czegos gdzie mam silnię przeksztalcic cos do sumy potęg kolejnych liczb.
można grzeczniej trochę.
->
Co z tego wynika? Dalej nie przypomina to zapisu 1^2 + 2^2 + ... + n^2. Nie ma tam ani jednej potegi.
Umiem to dobrze rozpisac, dokladnie tak jak w [116], ale to mi nie pomaga. Jestem zj**bany, wiem. Ale chce to zrozumiec.
Btw. w liczniku po prawej stronie wychodzi n^3, a w 1^2 + 2^2 + ... + n^2 nie ma zadnego n^3, wiec dalej tego nie rozumiem. Nie rozumiem jak suma tych kwadratow jest rowna prawej stronie. Na jakiej podstawie?
a no tak..
Edit.
jak cos jest niejasne to odpowiem późnym wieczorem albo jutro.
Nie. Link uzasadnia to ->
Edit.
Ok, czyli ogarnąłeś :P

Zadanie z logarytmów:
Co tutaj źle robię lub co dalej zrobić (screen)?
Valem -> Thx, straszny bład ;/
z nawiasu Ci wychodzi 2 (bo log100 to 2 a nie 10) i wtedy caly wynik to 1
ctg (x- pi/2) = sqrt3
mi wychodzi 2/3 pi + kpi a w odpowiedzi mam inaczej. Blad w odp czy moze jednak ja cos zle zrobilem?
up
i ostatni
Wolframowi wychodzi tak jak Tobie.
http://www.wolframalpha.com/input/?i=ctg+%28x-+pi%2F2%29+%3D+sqrt3
(Oczywiście Twoje 2/3 pi + kpi to to samo co Wolframa -1/3 pi + kpi, po prostu przesunięte o jeden okres)
tez fakt :) czyli nawet jakbym napisal rozwiazanie przesuniete o 3 okresy + kpi to i tak byloby dobrze? dzieki
Pewnie, że nie ważne które z wielu okresowych odpowiedzi akurat napiszesz. Oczywiście, siłą rzeczy zazwyczaj wszyscy dochodzą do tej samej jednej "najsłuszniejszej", ale zanim się spanikuje dobrze sprawdzić czy odpowiedzi nie różnią się tylko właśnie w ten sposób.
a moglbys napisac jak to najprosociej sprawdzic? (chodzi o to czy jesli mam inna odp. to jak sprawdzic czy to tylko roznica okresu)
Imo najlepiej podać liczbę dodatnią, najbliższą 0 zawierającą się w pierwszym przedziale okresowym czy jak to nazwać, czyli np. przy okresie pi nie podawać odpowiedzi w formie 5/3*pi + k*pi czy -1/3*pi + k*pi tylko 2/3*pi + k*pi, mimo że jest to dokładnie to samo, bo wszystkie te odpowiedzi się pokrywają, dlatego że k jest liczbą całkowitą.
Według mnie 2/3*pi + k*pi, jest poprawną odpowiedzią i taką, jakiej powinno się udzielić.
Witam,
Panowie trzeba mi wytłumaczyć dwa zadanka z próbnej matury z CKE:
Arkusz:
http://www.polskatimes.pl/artykul/525267,blablbalabla,1,5,id,t,sm,sg.html#galeria-material
Zadania zamknięte: 17 i 21.
Z góry wielkie dzięki ;)
[134]
ad 17.
jak podano jest to trójkąt prostokątny, jak wiadomo przeciwprostokątna jest średnicą okręgu opisanego na tym trójkącie czyli jej długość to dwa promienie okręgu opisanego na tym trójkącie. Mamy jednak podane przyprostokątne, zatem musimy policzyć przeciwprostokątną z tw. Pitagorasa c^2=5^2+12^2=13^2, czyli c=13 lub po prostu widzimy że jest to trójkąt pitagorejski i od razu wiemy, że przeciw prostokątna ma 13, zatem promień to 13/2 czyli 6,5
ad 21
zacznijmy od tego, że wiadome jest że dla każdego zdarzenia A zachodzi takie coś P(A)+P(A')=1, w treści zadania podano, że P(A)=5*P(A') podstawiając to do wcześniejszej równości otrzymujemy 1=P(A')+5*P(A')=6*P(A'), co oznacza że P(A')=1/6 czyli P(A)=5*P(A')=5*1/6=5/6
Mam nadzieję, że wytłumaczyłem w dość prosty sposób
Valem --> Najłatwiej to sprawdzić przesuwając swoją odpowiedź o jeden okres w jedną i drugą stronę i sprawdzić, czy nie wychodzi to, co w oficjalnych odpowiedziach.
Jak Ci wyszło 2/3 pi + kpi, to okres jest równy pi. No to dodajesz pi i masz rozwiązanie 5/3 pi + kpi a później odejmujesz okres i masz inne rozwiązanie -1/3 pi + kpi. Może któreś z tych to będzie to oficjalne i będziesz wtedy spokojniejszy :)
Zazwyczaj w odpowiedziach podają właśnie odpowiedź najbliższą 0. W tym wypadku -1/3 pi jest bliżej 0 niż 2/3 pi, więc oficjalną odpowiedzią może być -1/3 pi + kpi, chociaż to wszystko jedno i to samo.

witam
czy ktoś mi podpowie, jak przekształcić ten wzór aby można było wyliczyć kąt ?
znam P, znam R a potrzebuje d (lub h) ale nigdzie nie znalazłem wzoru bezpośredniego, zatem trzeba się posłużyć kątem, tylko jak go wyznaczyć ?
Z góry dziękuje za każda wskazówkę,
Pozdrawiam
f(theta) = theta - sin(theta), jest to funkcja różnowartościowa, więc możesz otrzymać tylko jeden możliwy kąt theta, dlatego wydaje mi się, że albo obliczasz to metodą prób i błędów, albo zostawiasz wynik w takiej postaci np. theta - sin(theta) = 5, bo wystarczy to wklepać do kalkulatora czy wolframa i mamy odpowiedź.

jagged_alliahdnbedffds --> dziękuje za odpowiedz, choć nie o to mi chodziło.
mam zbiornik, który pracuje w pozycji horyzontalnej, a wiec gdy jest pełny (100%), cały jego przekrój (okrąg) jest wypełniony.
po zużyciu części płynu mam już tylko 90% pojemności zbiornika - i pytanie jest, gdzie dla tej objętości ustali się poziom w zbiorniku.
metoda prób i błędów będzie ciężko, tym bardziej, ze przy kolejnym upuście znowu będę musiał to policzyć.
Pozdrawiam
hmm wejdz moze na jakies forum gdzie sa studenci inzynierii wodnej.Najlepiej kanalizacji .I tam zapytaj,
Przy tych obliczen musisz niestety tez przyjac obj. orurowania , bo bedziesz mial przykre niespodzianki.
http://static.zadane.pl/files/d1e/8d21f7a677956e8d1dd5ffdf95cc31dd.jpg
ile wynosi A i B? (imo 40 i 70) wiem, ze banal (jak dla kogo :D), ale musze sie upewnic.
Will---> Kąt A wychodzi ze środka okręgu? Na rysunku to nie wygląda na środek i wtedy imho nie da się określić kąta.
Ale jeśli by to był środek to kąt A jest równy 2*40=80 stopni. Analogicznie trójkąt jest równoramienny i kąt B = (180-80)/2=50 stopni.
[145] podwójne podstawienie, najpierw t = -x / dt = -dx a potem s = e^t / ds = e^t, otrzymasz wówczas:
-/int 1/s(s+1) ds
rozdzilmy to:
-/int (1/s - 1/s+1)ds
i ponownie
int/ 1/s+a ds - /int 1/s ds
jak widzisz z pierwszej całki możesz zastosować podstawienie a drugą zamienić ze wzoru na log|s| chociaż w tym przypadku będzie oczywiście bez wartości bezwględnej. Resztę dokończysz bez problemu. Pozdro.
Pomóżcie, mam takie zadanie
"Znajdź równanie prostej będącej obrazem prostej o równaniu y=2x - 1 w symetrii względem prostej o równaniu y=x+1.
Rysuje na układzie współrzędnych te proste, zaznaczam punkt przecięcia i szukam jakieś punktu na prostej y=2x - 1 i wyliczam jego obraz względem l=x+1 ale tutaj coś mi się chrzani, tak więc proszę was o pomoc.
W liczniku podstaw -x= -x + 1 - 1 (bo jak dodasz 1 i odejmiesz 1, to wyjdzie to samo co przed tymi skomplikowanymi operacjami)
-x/(x-1) = (-x+1-1)/(x-1) = (-(x-1)-1)/(x-1) = -(x-1)/(x-1) - 1/(x-1)= -1 - 1/(x-1)
potrzebuje pomocy z trygonometria
sqrt2 + 2cosalfa
sqrt3 - 2cosalfa
cos2alfa - cos4alfa - cos6alfa + cos8alfa
w tym drugim no to pierwiatek jako tg60, rozpisuje na sin/cos potem do wspolnego mianownika i tu sie zacinam, w dwoch pozostalych w ogole nie mam pomyslu, takze dziekuje z gory za wyjasnienie krok po kroku tych przykladow
przepraszam, zapomnialem o najwazniejszym - poleceniu :)
do postaci iloczynowej to sprowadzic

Jak jest taka funcja y=ax^(2) + bx + c
Muszę wiedzieć czy c jest <, >, = 0. Jak mam takie coś liczyć?
arti290895 --> podpowiem, że f(0)=c, teraz rzuć okiem na wykresie ile wynosi f(0) mniej więcej i masz odpowiedź na swoje pytanie.
[155]
Albo z wzorów Viete'a, skoro masz ustalić tylko znak współczynnika c. Czyli: x1*x2 = c/a, jak widać z wykresu a<0, a miejsca zerowe mają różne znaki, więc otrzymujesz: coś<0 = c/coś<0 i z tego wynika, że c>0.
up
niech ktos pomoze, bo juz glupieje z tym syfem, ech...
mam przeksztalcic rownanie z postaci kierunkowej na ogolna, no i przyklad:
y=1/3x + 4
spotykam sie z roznymi rozwiazaniami i mam k jego mac metlik, no chyba ze jest wiele rozwiazan. ja to bymk rozwiazal tak:
y=1/3x + 4 | * 3
3y= x + 12 | - 3
y = x + 9
x + y + 9 = 0
A spotkalem sie z rozwiazaniem
y=1/3x + 4 | - y
1/3x - y + 4 = 0
0.o
prosze o pomoc w wyjasnieniu tego, bo nie wiem jak ma byc
po co robisz jakies kombinacje? przerzucasz wszystko tak zeby po drugiej stronie bylo 0 no i ostatecznie mozesz pomnozyc przez 3, to wszystko ;)
ponawiam prosbe o [152]
tam w swoich przekształceniach masz błąd, jeżeli stronami odejmujesz 3 to po lewej stronie otrzymujesz 3y-3.
A wracając do Twojego pytania, najprostszą odpowiedzią jest: Zrób tak, aby x,y i wyraz wolny był po jednej stronie, a po drugiej zero, czyli tak jak masz zrobione na samym dole twojego postu: 1/3x - y + 4 = 0
potem możesz sobie to przez 3 pomnożyć jak chcesz i otrzymasz
x-3y+12=0
a potem jeśli wolisz żeby "y" miał plus przed sobą
-x+3y-12=0
Ogólny przepis jak zrobić ogólną postać z kierunkowej, przerzuć lewą stronę na prawą i zostaw, ewentualnie zlikwiduj ułamki mnożąc stronami przez mianownik ułamka
ja mam takie pytanie jaki jest ogólny sposób robienia zadań z równością, gdzie niewiadoma jest zarówno w wartości funkcji trygonometrycznej jak i poza nią?
np. x^2+1=sin2x+cos2x
Ogarnia ktoś grafy?
Pewna para zaprosiła trzy inne pary do siebie do domu na sex party. Przy powitaniu niektóre osoby podawały sobie ręce, przy czym oczywiście osoby będące parą się ze sobą nie witały. Po zakończeniu powitania gospodarz imprezy zapytał każdą z pozostałych osób, ile rąk ta osoba uścisnęła przy powitaniu.
W odpowiedzi usłyszał 7 różnych liczb.
Ile rąk uścisnął gospodarz, a ile jego sex-partnerka?
kto mi trochę pomoże?
trzeba obliczyć 'a' jak się domyślacie.

Witam, pytanko z ciągów:
Jak widać na zdjęciu ->
autorzy twierdzą że pierwszą liczba naturalną która przy dzieleniu przez 7 daje reszte 4 jest liczba 4.
Imo powinna być to liczba 11 ponieważ do wzoru 7n+4 nie można pod n podstawić zera (tutaj mogę się mylić).
Podstawiając dalej pod wzór an zamiast liczby 4 liczbę 11 wychodzi delta z której nie da rady wyciągnąć sensownego pierwiastka.
A więc... co jest nie tak?
Najwyraźniej akurat przyjęli, że 0 należy do liczb, naturalnych, czemu nie.
Tak na chłopski rozum: 4 / 7 = 0 i reszta =4, więc wszystko się zgadza.
ślimok ==> Niby dlaczego we "wzorze" 7n+4 nie można wstawić n=0? Sugeruję doczytać definicję. n może być dowolną liczbą całkowitą, więc także 0, a nawet liczbą ujemną (przykładowo: -10 przy dzieleniu przez 7 także daje resztę 4). Najmniejszą liczbą naturalną dającą resztę 4 będzie więc 4 - zgodnie z tym, co podają autorzy.
DEXiu --> Trochę się chyba jednak rozpędziłeś, bo zgodnie ze wzorem z zadania n należy do liczb naturalnych, które w swoim zbiorze raczej nie posiadają liczb ujemnych :)
Swoją drogą nie polecam akurat tego vademecum z matematyki do uczenia się do matury. Do innych przedmiotów były w porządku, ale to było jakieś przekombinowane. Wolałem tradycyjnie podręcznik z 3 klasy, gdzie poza materiałem z 3 klasy była jeszcze cała powtórka wszystkich działów z poprzednich lat. Maturę zdałem dobrze :P
Ups. Faktycznie :) Mathmi ma rację - się rozpędziłem za bardzo i nawet nie zerknąłem na to zdjęcie z książki. Mea culpa. Tak czy siak głupoty wypisują, więc podchodziłbym z dystansem do całej reszty tej książeczki ;)
Mógłby ktoś podpowiedzieć kilka rzeczy?
1. Mam podane, że tg kąta ostrego wynosi 40 st. i mam powiedzieć ile wynosi ten kąt? Jak to zrobić dla sin itp.
2. Liczba wyrazów ciągu an=-n+3 większych od zera jest równa...?
Z góry dzięki
mannan -> co do drugiego :
-n+3>0
-n>-3 / -1
n<3
A więc pierwsze dwa wyrazy ciągu są większe od 0.
1. Mam podane, że tg kąta ostrego wynosi 40 st. i mam powiedzieć ile wynosi ten kąt? Jak to zrobić dla sin itp.
tablice.
arcsin.
Nie rozumiem rozwiazania podanego do tego zadania: http://matematyka.org/viewtopic.php?f=8&t=32361
Skad wiadomo ze zaleznosc podana przy (1) jest prawdziwa? To, ze zachodzi dla pewnych n nie znaczy, ze zachodzi dla kazdego n. Nie sugeruje oczywiscie, ze cokolwiek jest zle, tylko pokazuje, ze tego nie rozumiem.
A skad wzieto zaleznosc (2) i do czego jest ona potrzebna?
Ok, tutaj jest wyjasnienie: http://nrich.maths.org/2338
Czyli przeprowadzenie takiego rozumowania jak pod koniec artykulu jest wystarczajace do udowodnienia zaleznosci rekurencyjnej?
http://zapodaj.net/bdb623907ab4.jpg.html
Poda ktoś odpowiedź na zadanie 2?
Mi wyszło 6/4 i nie wiem czy dobrze.
Selfish-->Wiem, skapnałem się chwilę po napisaniu posta :D
[176] patrzysz w tablice ile to tg30 i 60 i mnożysz.
Skąd wiadomo, że 81^2 to to samo co (3^2)^4 czyli 3^8
Jest jakiś wzór na takie zamienienie potęg, czy trzeba obliczać wynik a potem kombinować?
Mógłby mi ktoś wytłumaczyć takie zadania jak zrobić, bo mnie nie było na lekcji.
Które spośród punktów P, Q, R należą do wykresu funkcji f?
P(6,0), Q(-9,2), R(24, -14), f(x)=-2/3x-4
Napisz wzór funkcji, której wykresem jest prosta równoległa do prostej o podanym wzorze i przechodząca przez punkt p.
y=4x-2, P(0,3/4)
witam i po raz kolejny prosze o pomoc, bo jest maly problem. dla przykladu zadanie:
zad. napisz rownanie okregu wiedzac, ze odcinek o koncach A=(-6, 0), B=(2, -8) jest średnicą okręgu.
no to obliczam to S
S= [-6+2/2 ; 0-8/2 ] = (-2;-4)
i tu jest problem, bo nauczycielka zrobila to podstawiajac tak:
S= [-6+0/2 ; 0-8/2 ] = (-3;-4)
dalej juz wiem jak zrobic, ale nie wiem w tym momencie co robic : / prosze pomozcie
Will Barrows-> najłatwiej zrobić rysunek i sprawdzić, który wynik jest poprawny :)
czemu twoja nauczycielka zignorowała jedną ze współrzędnych to nie wiem, w każdym razie Ty dobrze policzyłeś.
Które spośród punktów P, Q, R należą do wykresu funkcji f?
P(6,0), Q(-9,2), R(24, -14), f(x)=-2/3x-4
Bierzesz po kolei każdy punkt, podstawiasz za x pierwszą współrzędną i obliczasz: np. f(6) = -2/3*6 - 4 = -8. Wynik, czyli w rozwiązanym przeze mnie przypadku: -8, musi być drugą współrzędną, aby punkt ten należał do wykresu fcji.
Napisz wzór funkcji, której wykresem jest prosta równoległa do prostej o podanym wzorze i przechodząca przez punkt p.
y=4x-2, P(0,3/4)
Proste są równoległe, gdy ich współczynniki a są jednakowe, gdzie y=ax+b. Drugi współczynnik b otrzymasz przez podstawienie punktu P do wzoru na y i po zadaniu.
spoiler start
1. f(6) = -2/3*6 - 4 = -8, więc P nie należy
f(-9) = 2, więc Q należy
f(24) = -20, więc R nie należy
2. a1=4, więc a2=4, nasza prosta to na razie: y=4x+b
Podstawiam współrzędne punktu P: f(0) = 4*0 + b = 3/4, więc b=3/4
Wzór fcji: y=4x+3/4
spoiler stop
Dzięki jagged, bardzo mi to pomogło zrozumieć zadanie.
Znasz może jakąś dobrą książkę o funkcjach, która pozwoliła by mi je dobrze zrozumieć? Aktualnie jestem w 1-szej klasie technikum, ale funkcjami zajmujemy się 4 lata.
Zawsze wszyscy polecają książkę do matmy Krysicki, Włodarski, ale nie wiem czy znajdziesz tam to, czego szukasz, bo już z niej dawno nie korzystałem.
Mam takie zadanie:
1.Dany jest graniastosłup prawidłowy czworokątny, którego suma długości wszystkich krawędzi wynosi 12.
a) napisz wzór funkcji P wyrażającej pole powierzchni całkowitej graniastosłupa, w zależności od długości krawędzi podstawy x. Podaj dziedzinę tej funkcji.
b) wyznacz długości krawędzi graniastosłupa, dla których pole powierzchni całkowitej jest największe .
W a) wyszło mi, że y=-6x^2 + 12x
I teraz pytają o dziedzinę funkcji. Jaka ona jest? Skoro jest to parabola to dziedzina nie powinna być zbiorem liczb rzeczywistych?
I jeszcze kolejne:
W ostrosłupie prawidłowym czworokątnym ściana boczna jest nachylona do płaszczyzny podstawy pod kątem ostrym alfa, dla którego cos alfa= 3/5. wysokośc ostrosłupa ma długośc 12 cm.
I o ile początek to banał (wystarczy odczytac z tablic, że jest to ok 54 stopnie) to dalej jest trochę trudniej.
A mianowicie dochodzę do momentu, w którym mam trójkąt, którego podstawa jest połową długości boku podstawy ostrosłupa, przyprostokatnątna to wysokośc ostrosłupa, a przeciwprostokątna to wysokość boku ostrosłupa. I jak mam to dalej obliczyć? Mam niby ile to jest cos z alfa, ale co mi to daje?
[191] wzór dobrze.
jeśli chodzi o dziedzinę: parabola owszem ma dziedzinę R, ale Ty masz na samym początku zadania postawiony warunek dotyczący sumy długości boków. Krawędź nie może być mniejsza od 0 to raz. A dwa wzór na sumę długości boków 8x+4z=12, gdy z=0.
edit:
[192] nie napisałeś co trzeba obliczyć.
Zaczynam się ostro do matury przygotowywać, a że nie jestem dobry z matmy będę zadowolony jak zdam ja na ~60% i tutaj moje pytanie, jak się uczyć? Na razie rozwiązuje stare arkusze i jak czegoś nie wiem to czytam i się o tym uczę na necie i jakoś mi to idzie, czy takie coś mi wystarczy? Może są jakieś strony z arkuszami online które mi automatycznie po rozwiązaniu wynik podliczają? :)
[195] Nie wiem czy takie są, ale ja preferuję zwykłe matury bo wtedy uczeń od razu sprawdzi sobie arkusz rozwiązań. Tak naprawdę da mu to więcej bo dowie się co miał źle i czego od niego oczekują. Do otwartych zadań raczej nie ma takich odpowiedzi, bo zadanie można rozwiązać na kilka sposobów.
Moje przygotowanie do matury wyglądało tak:
przez 3 lata sumiennie rozwiązywałem zadania domowe z matematyki
około 4 miesiące przed maturą zacząłem siękać arkusze maturalne, nawet sprzed kilku czy więcej lat.
Przy okazji: Czy jest to dobry temat do ogłaszania się z korepetycjami?
Witam
Mam problem z zadaniem. Oto ono, mam nadzieję, że ktoś dobry pomoże mi w nich. :)
Oblicz pole powierzchni całkowitej ostrosłupa prawidłowego sześciokątnego o krawędzi podstawy 10 cm i krawędzi bocznej o 50% dłuższej. Obliczyłem pole podstawy, ale nie pamiętam wzoru na wysokość w trójkącie równoramiennym.
BTW. Może ktoś mi wyjaśnić, skąd w wyniku bierze się np. 16(10 pierwiastka z 3 + 3)?
Mam pytanie co do rachunku prawdopodobieństwa. Miałem dziś zadanie z rachunku na maturze próbnej (jednej z wielu), a że ten dział akurat przerabiam w szkole, nie jestem zupełnie pewien jego rozwiązania. Polecenie wyglądało mniej więcej tak:
Z liczb 4-cyfrowych utworzonych z cyfr 1, 2, 3, 4 (nie powtarzających się) wylosowano jedną liczbę. Jakie jest prawdopodobieństwo, że jest to liczba parzysta.
Jak to rozwiązałem?
4x3x2x1 = 24 i to jest omega czyli zbiór wszystkich zdarzeń
12 to ilość liczb parzystych w tym zbiorze i jest to A czyli podzbiór
P(A) = 12/24 = 1/2
Dobrze rozumowałem?
lolek50 -> Podziel trójkąt równoramienny na 2 równe trójkąty prostokątne i wysokość oblicz z twierdzenia Pitagorasa.
Pewnie jest to dla was banalne zadanie, ale ja nie potrafię go obliczyć. Proszę o pomoc.
Podaj wzór funkcji kwadratowej o miejscach zerowych -2 i 5, której wykres przechodzi przez punkt P o współrzędnych (1,24)
@Marcin017
Korzystamy z postaci iloczynowej funkcji kwadratowej:
y = a(x+2)(x-5)
Podstawiasz za x i y współrzędne podanego punktu i rozwiązujesz banalne równanie z jedną niewiadomą a.
Podstaw sobie miejsca zerowe do wzoru na postać iloczynową y=a(x-x1)(x-x2). Następnie podstaw sobie podany punkt do tego wzoru i wylicz a. Wymnóż wszystko i będziesz mieć postać ogólną.

-->
Edit: Trochę się spóźniłem, bo nie odświeżałem wątku, ale w razie czego masz rozwiązanie obok. O ile się nie pomyliłem. ;)
Dlaczego dla sin->0 ta granica wynosi 0?
Mam przeciez: lim [(cos fi)^3*(sin fi)]/[r^2 * (cos fi)^4 + (sin fi)^2] . Dla sin fi -> 0 mianownik dazy do 0, a w mianowniku r^2 * (cos fi)^4 dazy do zera i oczywiscie (sin fi)^2] dazy do zera. Ale mam funkcje 1 zmiennej i moge skorzystac z reguly de'l'hospitala?
Wytłumaczy mi ktoś skąd w tym równaniu wzięło się -8? No nie ogar total, dziś..
-2/3*6 - 4 = -8
-2/3*6 - 4 = -8
pewnie prowo, ale co tam
mnożysz minus dwie trzecie razy 6 i wychodzi 2. (6 to trzy trzecie, jedna trzecia to dwa)
2 razy -4 to -8
Ok, bo nie jestem przyzwyczajony do tych ukośników komputerowych. Ubzdurało mi się, że mam dzielić -2 przez 3, a to był ułamek...
Dzięki Barows za odpowiedź.
Sorry za post [206]. Dla wlasnego dobra prosze nawet tego nie czytac :)
Ok, bo nie jestem przyzwyczajony do tych ukośników komputerowych. Ubzdurało mi się, że mam dzielić -2 przez 3, a to był ułamek...
Tak właśnie uczą teraz matematyki w szkołach. Potem po kilkunastu latach nauczania młody człowiek nawet nie wie, że ułamek to właśnie dzielenie.

Pomoglby ktos? Jak sie za to zabrac? Wynik to -3, ale nie wiem dlaczego. Jesli mozna, nie uzywajac wspolrzednych biegunowych.
No dobra, bardzo latwo wychodzi -3 z granic iterowanych, ale czy mozna to zrobic bez uzywania ich? Tylko np. tw. o 3 funkcjach?
Nie dało by rady zrobić tego zadania
http://www.youtube.com/watch?v=dxGggL57eHA&feature=youtu.be&list=PL8035B18390F35E30
w jakiś prostszy sposób? Nie wypisując tych liczb tylko stosując jakiś wzór?
ślimok-->Możesz to zrobić nie wypisując liczb, ale metoda pozostanie ta sama musisz po prostu ułożyć sobie w głowie że będzie tyle setek, dziesiątek i jedności(tak nas uczyła matematyczka). Całe zadanie powinno zająć ci ok. 5 min więc nie jest źle, ale jako że matura to jest trochę stresu, zawsze lepiej żeby wypisać sobie liczby :)
PS. Powodzenia rocznik 1993 =)

Mam pytanie. Co stało się z cos[x+y+z]? Tam, gdzie jest napisane ("jest periodyczna i parzysta, czyli proste podwojenie"). Nie za bardzo tego rozumiem.
-cos(x+y+z) to jest już z całki oznaczonej, więc po prostu podstawiasz wartości graniczne z=pi i z=0, odejmujesz i otrzymujesz takie coś: -cos(x+y+pi)+cos(x+y+0) = 2*cos(x+y), bo przesunięcie cosinusa o pi to to samo, co pomnożenie go przez -1:
cos(X+pi) = cos(X)*cos(pi) - sin(X)*sin(pi) ze wzoru na sumę dwóch kątów
cos(pi) = -1, sin(pi) = 0, więc
cos(X+pi) = -cos(X), gdzie w Twoim przypadku X = x+y
Cześć. Proszę o pomoc w zadaniu:
Wysokości trójkąta równobocznego ABC przecinają się w punkcie D.
a) Oblicz długość odcinka AD, jeśli wiadomo, że |AB|=5.
b) Jaka jest odległość punktu D od prostej BC, jeśli |BC|=10?
c) Jaka jest odległość punktu D od boku AB, jeśli |DC|=12?
d) Jakie pole ma trójkąt BCD, jeśli |AD|=20?
Prosiłbym o wyjaśnienie tego zadania. Dzięki
[218]
http://pl.wikipedia.org/wiki/Trójkąt_równoboczny
zacznij od rysunku, żebyś widział co robisz. Bierzesz wzór na wysokość, podstawiasz w każdym punkcie odpowiednią wartość. Wysokości trójkąta równobocznego przecinają się w jednym punkcie, dzieląc każdą z nich w pewnym znanym stosunku, który też powinieneś znać :]
Muszę z matmy wyznaczyć zbiór wartości funkcji f(x)=-5/cosx
Wiadomo że zbiorami wartości cosx jest <-1,1>
a co z takim "ułamkem"?:)
cos x ma wartości <-1, 1>
"Podstawiamy" sobie w myślach ten zakres wartości najpierw do 1/cos x (pamiętając, że w rozważanym przedziale jest 0!) - dostaniemy zbiór wartości (-inf, -1> u <1, inf)
Następnie mnożymy w myślach przez -5 dostając przedziały (-inf, -5> u <5, inf)
To oczywiście postępowanie i zapis nieformalny, ale zadanie jest na tyle proste, że można je rozwiązać w pamięci bez zawracania sobie głowy zapisem toku rozumowania
No właśnie nad takim wynikiem rozmyślałem jednak nie byłem w 100 procentach pewien. Aczkolwiek dziękuje za pomoc :)

problem, raczej latwy --->
mam obliczyc dlugosci bokow z funkcji trygonometrycznych, przy tych dwoch utknalem
Witam. Jako, że rozpoczyna nam się powoli (a co poniektórym już się rozpoczął...) okres wakacyjny, to nowa część zostanie przeze mnie założona zaraz z początkiem września. Mimo to zachęcam do zamieszczania swych zadań w owej części i... i miłego wypoczynku wszystkim GOL-owym matematykom życzę. ;)
Może mi ktoś pomóc, z tym przykładem? Byłbym bardzo wdzięczny.
http://screenshooter.net/7796522/eleypjn
[227] a jaki masz problem z tym zadaniem?
Podstawiasz liczbę pod x, widać od razu, że w mianowniku będzie tylko pierwiastek, usuwasz niewymierność i gotowe.
Wiem, że już wakacje, ale mam tu zadanie z rachunku prawdopodobieństwa:
Do 10 szuflad wrzucono losowo 5 przedmiotów. Obliczyć prawdopodobieństwo, że losowo otwarta szuflada będzie pusta.
Jak to zrobić?
Liczę całkę S(1+x^2)^1/2dx i wychodzi mi 2/3(1+x^2)^3/2+C, a gdy liczę z tego pochodną wynik nie wychodzi taki jak ta całka. Mógłby to ktoś sprawdzić?
Nie dziw się. Źle całka jest policzona. Metoda współczynników nieoznaczonych jest ci znana? Wyjściowa całka jest równa całce z (1+x^2)/(1+x^2)^1/2 .
Teraz http://pl.wikipedia.org/wiki/Metoda_wsp%C3%B3%C5%82czynnik%C3%B3w_nieoznaczonych
czytaj i do dzieła
Mam takie zadanko: W pierwszym pojemniku jest 5 kul białych i 3 czerwone, w drugim są 4 białe i 4 czerwone. Z pierwszego pojemnika mam wylosować dwie kule które następnie mam przełożyć do drugiego pojemnika. Następnie mam obliczyć prawdopodobieństwo wylosowania jednej kuli czerwonej z drugiego pojemnika.
Prawdopodobnie trzeba skorzystać ze wzoru na prawdopodobieństwo warunkowe. Mógłby mi ktoś rozpisać mniej więcej jak to zadanie wykonać?
Powyższa prośba jest już nieaktualna. Zadanie okazało się w gruncie rzeczy banalne.
Mam pewien mankament z owym równankiem (macierze):
x+2y/4-(x-1/3y)=y+1
y+3/6+2-x/2=3
Dwie klamry potraktujcie jako jedną, bo to jest układ równań, który trzeba rozwiązać metodą wyznacznikową.
Zaznaczam iż rozumiem te tematy tylko po prostu coś mi wychodzi źle w trakcie obliczeń
mianowicie W=-15 Wx=34 Wy=-63
CZy ktoś mógłby sprawdzić, wykonując ten przykład samodzielnie i wstawiając wyniki jako post?
Z góry dziękuję.
"Dla jakich wartości parametrów k rozwiązaniem ukł. równań:
x+y=k
3x-2y=2k-1
jest taka para liczb (x,y) że |x|<=1/2 i |y| <=1/2 (<= oznacza mniejsze bądź równe)
Ja to bym rozważył 4 przypadki:
x=-1/2 y=-1/2
x=-1/2 y=1/2
x=1/2 y=1/2
x=1/2 y=-1/2
Rozwiązał te układy równań i otrzymał k.
|x| <= 1/2 czyli -1/2 <= x <= 1/2 . To są po prostu skrajne wartości.
podstawiam te 4 przypadki pod
x+y=k
3x-2y=2k-1 ale mi nie wychodzi.
W którym momencie mam podstawić x i y?
w linku ktory podalem masz wszystko krok po kroku......
No to mój pomysł jest błędny. Ja ostatni raz zadanie matematyczne rozwiązywałem ze dwa lata temu. Wybacz, że zamieszałem. Zrób tak jak podał Valem.
"Na płaszczyźnie z prostokątnym układem współrzędnych zilustruj zbiór punktów, któych współrzędne spełniają nierówność: |y+2|>=|x+1|-1"
[245] tak z pamięci, przerzuć niewiadome na jedną stronę, a potem rozpatrz kilka przypadków zależnie od tego czy wyrażenia w wartościach bezwzględnych są ujemne/dodatnie. 4 przypadki, usuwasz w nierówności w. bezwzględne i dostajesz rozwiązanie.
"Dane są dwa okręgi o(A,r1) i o(B,r2) takie że r1= k+1 r2=3k+1 i |AB| = k+2. Dla jakich wartości k dane okręgi są stycznie wewnętrznie?
Dla okręgów stycznie wewnętrznych wzór to |O1O2|=|r1-r2| no i ok, i co dalej?
No i wstawiasz dane do tej równości, a następnie rozwiązujesz otrzymane równanie z niewiadomą k. Gdzie tkwi problem?

proste, ale nie wychodzi mi, może ktoś pomóc?
Napisz ile wyszło i zobaczymy co jest nie tak.
PS. W pierwszym poście masz notację, co byś nie musiał w Paincie pisać.
dobra więc
(x-sqrt(3))^4 to jest to samo co (x-sqrt(3))^2 * (x-sqrt(3))^2
?
daje bo to jest tylko kawałek wyrażenia, a to głownie stanowiło problem
dzięki ;)
Żeby wektory tworzyły bazę muszą być tylko liniowo niezależne, czy są jeszcze jakieś warunki?

kuźwa, nie potrafię poradzić sobie z zadaniami na zbiory, proszę o pomoc!
"Narysuj wykres funkcji f(x)=|x^2+2x-3|, x=R. Wyznacz największą oraz najmniejszą wartość tej funkcji w przedziale <-2,1/2>".
Nie wiem jak się za to zabrać, tzn. chodzi mi o ten moduł, zapomniałem jak się robiło dla |f(x)| a jak dla f(|x|), z góry dziękuję za pomoc :).
jeżeli cała funkcja jest pod modułem to odbijasz częściowo względem osix, a w drugim przypadku częściowo względem osiy
Czesc, mam pytanie. Jakie wspolrzedne musi spelniac punkt zeby znajdowal sie pod i nad wykresem pewnej funkcji?
0.5
zajrzyj do wlasnosci logarytmow
Dzięki Valem. Na początku próbowałem normalnie zrobić ten przykład, potem przejrzałem właściwości i przeoczyłem wzór. Teraz przejrzałem znowu i już znalazłem.
log x 3=1/3
log x 81=4/3
log 2 8xpierwiastek2=x
Pomoże mi ktoś w tym? Jak to zrobić?
/ --> ułamek
Napisz to po ludzku zebysmy wiedzieli chociazby co jest podstawa logarytmu.
Już obliczyłem!
Przecież wiadomo nie od dziś, że pierwszy znak to podstawa logarytmu.
pytanie
naszkicuj wykres ciągu an jeśli dany jest wyraz ogólny tego ciągu an = -3, N e N+
wiem, ze wykres ciagow to te kropki, ale tu to nie ma pod co podstawic enki, zawsze wyjdzie ta trojka na minusie, jakie n by nie bylo. : /
ale tu to nie ma pod co podstawic enki, zawsze wyjdzie ta trojka na minusie, jakie n by nie bylo.
wiec tak narysuj, proste
na osi x'ow masz n, a na osi y masz an, rysujesz fragment ciagu i tyle
btw, w ktorej klasie daja takie zadania? :O
dzieki wielkie, jeszcze jedno pytanko
podaj wzor ogolny ciagu, w ktorym suma n poczatkowych wyrazow wyraza sie wzorem sn=2nkwadrat + 6n - 3.
musze skorzystac z tego ---> an=sn - sn-1, ale co na poczatku? delte wyliczyc i n1, n2?
Musze rozwiązać równanie wielomianowe 3x^3-10x^2+10x-3=0
dochodzę do momentu gdy mam (x-1)(3x^2-7x+3)=0 Liczę z tego delte, ale wychodzi mi 13, a pierwiastek z delty to będzie [sqrt]13. Coś nie tak? Proszę mnie poprawić, bede wdzięczny.
Nie jestem pewien co do jednej z danych (jest albo an albo a4). Zadanie polega na obliczeniu S8 (sumy ciągi geometrycznego), jeśli an/a4 (tu właśnie nie jestem pewien) = 3 razy (jedna druga) do potęgi 4.
Mógłby ktoś powiedzieć, krok po kroku, jak rozwiązać taką granicę:
lim (arcsin(x)/(x))^(1/x^2)
x->0
Jeszcze mam problem z rozwiązaniem takiego układu nierówności
(x-2)(x+1)^5(16-x^4)x^2>=0 (większe lub równe)
(x^2-10x)(x-1)-21(1-x)<0
W pierwszym mam najpierw określić krotność pierwiastków i miejsca zerowe, czy jak? Nie wiem jak to popchnąć do przodu aby później móc robić bez problemu.
Z góry dziękuje.
znajdz miejsca zerowe obu nierownosci, zrob rysunki obu nierownosci i odczytaj wspolne przedzialy
Witam wszystkich GOL-owych matematyków. :) Ogloszonko: Nowa czesc zostanie zalozona po przekroczeniu liczby 300-stu postow. Dzieki za uwage i zycze wiele satysfakcji z rozwiazywania kolejnych zadan. Pozdrawiam. :)
Majezon --> masz 1^(oo), zapisz sobie jako:
e^(1/x^2)*ln(arcsinx/x), wtedy w wykładniku masz 0/0 liczysz granice wykładnika, Hospital i powinno ładnie wyjść, jak nie to jeszcze raz hospital. I nie zapomnij że wyjściowa granica to e^... .

Nie sądziłem że będe potrzebować pomocy, ale niestety potrzebuje.Otóż muszę obliczyć długość odcinka SP, wiedząć że promień jest równy 4 oraz alfa = becie.Największy problem to to, że nie wiem, jak mam obliczyć te boki trójkąta.
Rysunek z zadania.
A to kąt prosty, S to alfa, a B to beta.
ten kat przy S to kat ktorego trojkata?
daj cala tresc zadania
Z punktu P poprowadzono styczną do okręgu w punkcie A, jak na rysunku obok.Punkt S jest środkiem okręgu.Odcinek SB jest środkową w trójkącie SPA.Oblicz długość odcinka SP, wiedząc, że promień ogręgu jest równy 4 oraz Alfa=Beta.
Napisalbys ze SB to srodkowa to bysmy zaoszczedzili czas.
trojkat SBA jest rownoramienny wiec SA=AB=r=4
skoro SB jest srodkowa boku AP to BP=AB=r=4
a skoro mamy AS=4 AP=8 to pozostaje nam wyliczyc SP z twierdzenia pitagorasa
zadanie nastepujące: obliczyć dł krzywej danej równaniem y=arcsin(e^-x) 0<=x=<1
moje pytanie czy mogę przejść z postaci y=... na x=... pozamieniać odpowiednie zmienne i podstawić do całki potem wszedzie f'(y) , dy itd. bo juz przy liczeniu pochodnych z funkcji f(x) wychodzi kosmos, a z funkcji f(y) wychodzi ładnie. wolfram przy liczeniu tej dł krzywej na y=f(x) nie pomógł za bardzo.

Golowicze, którzy są biegli w całkach, potrzebuję waszej pomocy. Otóż z całkami miałem styczność, jakieś 1,5 roku temu, a tutaj trafiło się, że trzeba kilka ich rozwiązać, a teraz kompletnie nie pamiętam, co jest do czego :(
Ktoś potrafiłby pomóc?
a) za 1-cosx podstaw t => dt = sinxdx , i masz całke z dt/sqrt(t) co łatwo rozwiązac bo masz całke z t^-1/2 = > wynik 2t^1/2.
a3) spróbuj przez części : v'=sqrtx, u=lnx, v=2/3x^3/2 , u'=x^-1, potem wynik v*u - całka z v*u' łatwa do policzenia,
b)za nawias podstaw t, dt=dx , masz całkę z t*cos5t dt przez części v'=cos5t, v=1/5sin5t, u=t , u'=1, j/w masz: 1/5sin5t*t + całka z 1/5sin5t dt wynik 1/5sin5(x+1)*(x+1) + 1/25cos5(x+1).
b2)za sin3x=t , 3cos3x dx=dt, cos3x dx=dt/3, i masz calke z e^t dt= e^t , wynik 1/3e^sin3x
zaraz rezte napisze
b3) za nawias podstaw t, i masz 5x^4 dx = dt, x^4dx= dt/5, wynik to 1/5tg t = 1/5tg (x^5 -3);
c1)za x+1=t , dx=dt, całka z ln t dt, przez części v'=1 u= lnt, v=t, u'=1/t, potem chyba już wiesz jak. i wróć do podstawowych zmiennych.
c2)2x-1=t 2dx=dt, dt/2=dx, całka z 1/2* t^-5 co od razu daje wynik 1/12*(2x+1)^6 ,
c3)hmmm rozbiłbym na 2 całki jedną : x*cos3x dx, i drugą -4cos3x dx, ta druga wychodzi od razu, 4/3sin3x, a pierwszą przez części.
oczywiście wszędzie w wyniku jeszcze dodać stała całkowania, C
Dzięki wielkie stary!!!
Może mi ktoś pomóc?
Mam zadanie: Wyznacz iloczyn A i B jeśli
A=;x:x R i x-2/x+2>=2x-3/4x-1; i B=;x:x R i |x^2-25|/|x^2-5x|>1;
Jak pierwsze robię to przenosze na drugą strone żeby było większe lub równe zero. Wyliczam mianownik dziele do kwadratu, ale nadal nie zgadza się z wynikiem.
Jeżeli jest możliwość, prosiłbym o jakieś rozwiązanie i wyjaśnienie :F
Z góry dziękuje.
PS. Jest to funkcja wymierna jak coś.
[292]
nie pomogę, ale jak zrozumiesz, to co jest w tym linku, to inne tego typu "zagadki" też będziesz umiał robić:
http://pl.wikipedia.org/wiki/Kolejno%C5%9B%C4%87_wykonywania_dzia%C5%82a%C5%84
[293]
pewnie można zrobić prościej, ale ja to tak zrobiłem:
-policz co wchodzi do "dziedziny", a co nie
-co się tyczy A:
*pomnóż stronami przez kwadrat mianownika każdego z ułamków(wyrzuciłeś możliwość zera w mianowniku wcześniej, a znak się nie zmienia bo kwadrat nie może być ujemny(dla rzeczywistych))
*dokonaj "redukcji wyrazów podobnych"
*pierwiastków otrzymanego wielomianu szukaj wśród dzielników liczby stojącej bez niewiadomej
-co się tyczy B:
*uprość minimalnie wyrażenie
*narysuj sobie na osi kiedy funkcja zmienia znak i rozpatrz odpowiednią ilość przypadków
*podsumuj wyniki
-podsumuj otrzymane wyniki
Wyniki muszą wyjść poprawne jeśli się nie pomylisz
Gadzina, co do A - to najpierw przenoszę na jedno stronę aby po drugiej stronie było zero. A później mnoże mianownik pierwszego ułamka przez licznik drugiego (i na odwrót). Później otrzymany wspólny mianownik mnoże przez jego kwadrat? (aby się pozbyć go z mianownika i uniknąć zmiany znaku)
P.S Nadal mi to wyjść nie może, nie wiem czemu.

Pomoże ktoś?Takie zadanie dostaliśmy, a ja nic z tego nie kminie
Muszę znaleźć:
Sin Alfa
Cos Alfa
Tg Alfa
Sin Beta
Cos Beta
Tg Beta
mam zadanie do rozwiazania i nie wiem, jak je "ugryzc"
Zadanie:
Odczytaj miarę kąta, jaki tworzy z dodatnią częścią osi X prosta o równaniu:
a) y=(2sin60stopni)x + tg45
b)y=-x + pierwsiatek z 2
W a) ma wyjść alfa<60 stopni, a w b) 135 stopni. Problem jak do tego dojść i skąd sie to bierze.
@Will Barrows
1. wzór na prostą: y = ax + b;
2. oblicz i podstaw wartosci sin 60 i tg 45.
3. we wzorze na prostą, do obliczenia kąta między osią x a prostą potrzebny jest tylko wspołczynnik a. (b możesz więc wykreślic)
4. tg(alfa) = a, alfa to kat nachylenia, ze wzorow trygonometrycznych powinienes juz sam dalej rozkminić co trzeba zrobic.
5. no i zrob przede wszystkim ladny i duzy rysunek, to naprawde pomaga.
Otóz powtarzam sobie zadanka przed sprawdzianem, ale mam mały problem z dwoma (narazie dwoma :) ).
1. Sprawdzić czy dana równość jest tożsamością trygonometryczną;podać konieczne założenia.
cosalfa/1+sinalfa + cosalfa/1-sinalfa=2/cosalfa.
Czy tu trzeba dać cosinus czy sinus do kwadratu?
2.W trójkącie ostrokątnym ABC poprowadzono wysokości BD i CE, które przecieły się w punkcie O.
a) uzasadnij że |kąt ABD| = |kąt ACE|
b)Oblicz długość odcinka OB oraz cos(ECB) wiedząc że |EB|=5, |BC|=[sqrt]74 oraz |CO|:|OE|=0,75.
Bardzo byłbym wdzięczny.
cosalfa/1+sinalfa + cosalfa/1-sinalfa=2/cosalfa.
Czy tu trzeba dać cosinus czy sinus do kwadratu?
co Ty chcesz dawac do kwadratu i po co?
lewa strona do wspolnego mianownika, na dole bedziesz mial ze wzoru skroconego mnozenia 1-sin^2alfa i z tego robisz cos^2alfa, na gorze po uporzadkowaniu zostaja 2cosalfa, skracasz i masz prawa strone
zaraz postaram sie w paint'cie zrobic drugie
EDIT
podpunkt a - zauwaz ze trojkaty ABD i ACE sa podobne (kat prosty i kat wspolny) a wiec i trzeci kat jest taki sam
podpunkt b - wysokosc CE obliczasz z trojkata EBC z tw Pitagorasa, a po obliczeniu wysokosci mozna juz obliczyc cosinus alfa
odcinek OE to 4/7 wysokosci (wynika to z danych) wiec z trojkata EBO mozesz obliczyc szukany odcinek
mam nadzieje ze rysunek nie jest potrzebny, narysuj sobie sam to na pewno wszystko dostrzezesz
Valem, jestem Ci wdzięczny :) Dziękuje za bardzo szybką odpowiedź. Zapomniałem już o tych wzorach redukcyjnych i tożsamościowych, moja wina.
mam zadanie i znowu sa problemy, nie wychodzi mi jak trzeba
oblicz przekatne rombu wiedzac, ze bok ma 27.
czyli a=27 (Ob=4*27)
licze teraz tak (d1 i d2 przekatne)
(jedna druga d1) do kwadratu + (jedna druga d2) do kwadratu = 27 do kwadratu
co dalej?
@Will Barrows
zacznijmy od tego, że nie podałeś pełnej treści zadania. Na podstawie znajomości samej długości boku, nie da się wyznaczyć długości przekątnych rombu. Musi być znany jeszcze conajmniej jeden kąt między bokami.
edit: babol.
Szybkie zadanko:
Wskaż wszystkie ujemne wyrazy ciągu, gdy ciąg jest dany wzorem ogólnym:
An=(n-1)(n-3)(n-5)
Mi wyszło że "An" należy do (-inf; 5) i (11;inf)...
Czy w takim wypadku wynik to 1,2,3,4,12,13,14... ?
Tylko wyraz 4. Oblicz sobie "na piechotę", 1 3 i 5 wyraz to 0, wyraz 2 to 3, a od wyrazu szóstego włącznie zawsze będą dodatnie, zostaje wiec tylko wyraz 4.
Nie mam pojęcia, czemu mi nadal źle wychodzi, ale kompletnie nie idzie mi to zadanie.
Oblicz odchylenie standardowe od średniej płacy miesięcznej ( średnia to 2405 zł). Ma wyjść ok. 1284 zł (próbowałem to obliczyć, ale za każdym razem wychodzą mi złe wyniki). Proszę o rozwiązanie krok po kroku.
TABELKA DO ZADANIA
Wynagrodzenie: 850 1240 1300 1820 2210 2430 3840 4250 5400
L. pracowników: 3 2 1 4 3 2 3 2 1

Pisałem już tutaj w tym wątku wcześniej. Pomoc okazała się super i bardzo się przydało. Jednak potrzebuję jeszcze waszej pomocy. Ktoś dałby sobie radę z zadaniami obok? -------->
prosze o pomoc
Ze zbioru liczb (1,2,3,...,15) losujemy jednocześnie dwie. Ile jest możliwosci losowania , tak aby iloczyn obu liczb był parzysty.
ok, czyli jest 8 nieparzystych i 7 parzystych.
wynik ma wyjsc
(7 na 2)+(7 na 1)razy(8 na 1) = 77
PYTANIE: dlaczego (7 na 2), a nie np. (8 na 2)? przeciez to jedno i to samo - dwa razy parzysta to parzysta i dwa razy nieparzysta to parzysta : / help me comprehend

Post powyżej do usunięcia, nie wiem co się dzieje z tym forum.
****
[312]
Przecież masz po prostu sumę: ilość możliwości wylosowania dwóch parzystych + ilość możliwości wylosowania parzystej z nieparzystą. Są to jedyne możliwości w których iloczyn będzie parzysty.
(8 na 2) to nie jest 2 x nieparzysta, tylko ilość możliwych par gdzie obie liczby są nieparzyste. A nieparzysta x nieparzysta daje oczywiście wynik nieparzysty. (2k+1)*(2n+1), dla k,n całkowitych, wynosi 4kn + 2(k+n) + 1^2 =
2(2kn+k+n) +1 = 2p+1, gdzie p=2kn+k+n jest oczywiście całkowite.
Może umyka Ci kolejność działań. (7 na 2)+(7 na 1)razy(8 na 1) liczymy przecież (7 na 2) + [(7 na 1)*(8 na 1)]
****************
Moje pytanie będzie nieco bardziej filozoficzne. Na załączonym obrazku mamy fragment strony pewnego tekstu matematycznego, a w nim pewne skonstruowane liczby, którym bliższe przyjrzenie się dowodzi postawionego wcześniej twierdzenia.
Pytanie jest takie. Kiedy czytam coś takiego, to mam jakby widzieć skąd te liczby się wzięły, czuć to niejako w jakimś wglądzie, mam zakładać, że tak do nich doszedł autor, czy też za tymi liczbami stoi jakieś, powiedzmy, "dochodzenie", typu przyjęcie założeń jakie mają spełniać i wyprowadzenie ich z jakiegoś zbioru nierówności, albo jakieś inne kroki?
Jak w ogóle podchodzić do takich konstrukcji i jak je rekonstruować, jak szukać motywacji stojącej za nimi. Zawsze mnie takie sytuacje irytują, wydają się umowne, dlatego pytam.
Bardzo analogicznie tutaj, na stronie 12 pdf'a:
http://www.gutenberg.org/files/21016/21016-pdf.pdf
alpha_omega -> Niestety to jest taki rodzaj dowodów twierdzeń, który jest szybki, sprytny, ładny (?), ale niełatwy i - jak zauważyłeś - mogący irytować/frustrować kogoś, kto usiłuje się zeń czegoś nauczyć i odtworzyć tok myślenia. Takie konstrukcje robi się mając wystarczającą biegłość rachunkową, znajomość podobnych twierdzeń, zagadnień, nierówności i "kombinując" sobie w domowym zaciszu (na zasadzie "Chciałbym mieć liczbę, która będzie większa niż to, a mniejsza niż to... Fajnie jakby miała też takie a takie cechy..."). Jest to jednocześnie wada i zaleta takich dowodów. Wada - bo są nieintuicyjne i trudne do samodzielnego wymyślenia. Zaleta - bo są z reguły krótkie i w oczywisty sposób poprawne; a przede wszystkim - bo wystarczy taką przykładową konstrukcję podać (łatwo uzasadniając poprawność) i nikogo nie obchodzi jak do tego doszedłeś (cecha którą wielu matematyków sobie ceni - to coś jak testy wyboru w podstawówce, które uczniowie lubią, bo wystarczy odpowiedź, a nie tok rozumowania)
Szybkie pytanko bo staram się zrozumieć pochodne w zadaniach :)
jezeli mam wyliczyc pochodna z
ax^3 + b/x + c
no to tak
Dwa problemy z tym mam - po pierwsze czy mam zakladac ze a,b,c to liczby stałe ? (ergo pochodna z nich to 0?)
I czy pochodna b/x mam liczyc z ilorazu pochodnych czy jest sprytniejszy sposob :)?
[317]
stałą jest C bo nie wpływa na nią x, ergo nie, nie piszesz, że to zero, tylko liczysz dla x, czyli będzie 3ax^2
tak, z ilorazu
c to zero bo jest stałą
wyszlo mi 3ax^2 - b/x^2 dobrze mysle ?
znalazlem tez wzor ze pochodna z a/x = -a/x^2
przy okazji tak dla sprawdzenia czy mniej wiecej łapie o co w tym wszystkich chodzi
przykład y= 2/sqrt3(x^2) - x^1/3 ->>> pochodna z tego wyszla mi (-4/3x^-1/3)/x^4/3 - 1/3x^-2/3
Witam, mam problem z rownaniami/ nerownościami w dziale liczb zespolonych gdy nie wybieram żadnej części z danej liczby (ani tej real (rzeczywistej ? ) ani imaginary (tej z i)) i w danej nierowności/równaniu mam x, y i tę wymysloną liczbe i. Nie mialem tego na wykładzie, a na ćwiczeniach zawsze jak robiliśmy to pozbywaliśmy się i przed wykonywaniem nierowności itd (wybieraliśmy daną częśc wtedy). Żeby nie działać tylko w teorii podam przykład :
| i*z + 2 -i| <=2
dochodze do postaci |-y + 2 + i (x-1) | <= 2 no i moge oczywiście rozpisać to na przypadki dwa ale i tak nie będę wiedział co z tym i zrobić...
Aaaaa, chyba wpadłem, po prostu podnosimy do potęgi i pozbywamy się i ? w senise z definicji modułu ? :D To juz chyba dam rade, ale pytanie czy gdyby nie było modułu to dałoby rade jakoś to zrobić ? :)
MiszczX - Tak. Po prostu korzystasz z definicji modułu liczby zespolonej (pierwiastek z sumy kwadratów części rzeczywistej i urojonej). A gdyby nie było modułu to nie - nie dałoby rady nic z tym zrobić. Z tej prostej przyczyny, że w ciele liczb zespolonych nie definiuje się relacji większości/mniejszości.
PS. To przy "i" to się nazywa część urojona (a nie wymyślona - ale byłeś blisko ;)
Revanisko - Dobrze wyszło, acz niepotrzebnie się bawisz w liczenie pochodnej z a/f(x) (czyli w liczniku stała, a w mianowniku coś z x) ze wzoru na pochodną ilorazu. Prościej:
(a*f(x))' = a*f'(x) (czyli: pochodna z iloczynu stałej przez funkcję jest równa iloczynowi tej stałej przez pochodną funkcji; innymi słowy: stałą przy mnożeniu zawsze sobie możesz wyrzucić przed pochodną i się nią nie przejmować)
a/f(x) = a * (f(x))^(-1)
Już widać? a przed całość i zamiast pochodnej z ilorazu 1/f(x) liczysz sobie pochodną z f(x)^(-1) co jest trochę szybsze (ale na to samo wychodzi, więc jak ci wygodniej)
To zadam jeszcze jedno pytanie, tzn kolejne upewnienie się (mam nadzieję) ;) Jak mam równość z x,y,i to moge to rozwiązać po prostu segregując wyrazy na tez z "i" i te bez "i" ? i robię że jedne i drugie muszę być równe zero ? w przypadku gry po drugiej stronie równości mam zero oczywiście :)
Pomógłby ktoś w paru przykładzikach z logarytmów? Byłbym wdzięczny.
a) Rozwiąż nierówności
(2/5)^log(0,25) (x^2-5x+8) =< 2,5 (wieksze rowne)
b)Rozwiaż nierówności
log(1/3)x>log(x)3-2,5
c)Rozwiąż układy równań
log(4)x+log(4)y = 1+log(4)9
x+y-20=0
Ogólnie jest tak, mam tendencje do robienia głupich błędów, toteż prosiłbym o wyprostowanie i w miare jasne wyjasnienie.
w a) robię tak. Z lewej strony jest to liczba potęgową, w potędze jest logarytm więc wykładnik "przesuwam" i mam coś takiego - log(0,25) (x^-5x+8)^2/5 =<log(0,25) 1/32 (po wyliczeniu i zamianie 2,5 na log(0,25))
b) trzeba zastosować prawo zamiany podstaw, bodajże byłoby to tak - log(1/3)x - log(x)3 - 2,5 = log(1/3)x - log(1/3)3/log(1/3)x - 2,5?
a w c) to bodajże najlepiej będzie drugą cześć równania przekształcić na postać y = -x+20? i zamienić y w pierwszej częsci na -x+20?
Proszę o pomoc/sprostowanie. Pozdrawiam.
SKończyliśmy już co prawda liczby zespolone ale ciągle mnie nęka pewien problem i teraz mnie naszedł i nei wytrzymam do kolejnych ćwiczeń z tym pytaniem :D Otóż zawsze było wiadome że sqrt(4) to 2, ale np licząc to jako pierwiastek liczby zespolonej to otrzymujemy też -2 (w sumie oczywiste to było bo (-2)^2 to tez 4) i nie wiem jak rozumieć te wyniki. Tzn czy to -2 jest poprawne ? Jeśli tak to kiedy je stosować ?
To nie kwestia działania w zespolonych/rzeczywistych, tylko kwestia umowna - czy bierzemy pod uwagę tylko dodatni pierwiastek (zwany arytmetycznym), czy oba pierwiastki algebraiczne (dodatni i ujemny - za wyjątkiem pierwiastka z 0 ma się rozumieć). Te całe liczby zespolone i "pierwiastki z liczb ujemnych" trochę Ci namieszały ;)

No dobra, czyli zespolone można już odklepać, teraz przyszedl czas na macierze no i liczenie wyznaczików i działania na macierzach były już dość mocno przećwiczone ale ostatnio pod koniec ćwiczeń wprowadzone zostały układy rownań z parametrem i liczenie w zalezności od parametru ilości rozwiazan itd. metodą eliminacji Gaussa (w sensie postepujemy podobnie do tej motody jakby nie było parametru) no i jak zwykle na ćwiczeniach zrobiliśmy jeden latwy przykład gdzie po jednym przeksztalceniu macierzy widać było że gdy parametr różny od czegoś - uklad nie ma rozwiązań i dla tej jednej wartości policzylismy rozwiązania. W domu natknąłem sie na bardziej skomplikowane przykłady, albo tylko takie mi się wydają być bo nigdy tą metodą takich nie robiłem. Mianowicie ten parametr pojawia się w wielu miejscach i trudno uzyskiwać mi tej jedynki i zera w macierzy. W kilku przypadkach sobie poradziłem - porobiłem trochę założen(żeby nie mnożyć rzędu przez 0) i mnozyłem rzędy przez wyrażenia z tym parametrem a na koniec sprawdzalem co dzieje się dla tych poszczególnych przypadków (można tak?), czasem po prostu robiłem to jak w liceum - wyznacznikami, a teraz trafił mi się przykład pokazany na zdjęciu i rownież licze to robiąc te załozenia itd, ale mam pytanie czy nie ma no to innego sposobu ?
No dobra chyba moża robić tak jak to robilem bo posprawdzałem w wolframie (mają taki widget nawet na układy równań) i wychodzi dobrze, ale nadal pytam sie czy nie ma nic szybszego ? :D bo o ile w matrycy z samymi liczbami to jest łatwe, tak jak mamy jeszcze parametr to można sie dość latwo pomylić :(
Pomógłby ktoś z trygonometrią?
Mam obliczyć wartość wyrażenia sin10cos20+cos10sin20/cos19cos11-sin19sin11 (liczby to kąt w stopniach)
Mam pytanie co do Własności wartości bezwzględnej .
Chodzi mi głównie o rozwiązywania.
np.
ze wzoru:
|a-b| = | b-a|
Działanie
|x-2|=3
to
x=;-1 , 5; <- w tym nie chodziło mi o przedział tylko o tą klamrę ale chyba forum tego nie obsługuje
i
tu mam pewna wątpliwość co do dodawania
czy wzór na to może być tako
|a+b| = | b+a |
w taki razie ile może wyjść z takiego działania
|2+x|= pierwiastek kwadratowy z 3
mogę to przedstawić w taki sposób
|x+2|=pierwiastek kwadratowy z 3 ?
Zapewne to łatwe jest ale jakoś tego nie kumam
preDratronIX -> Widać brak obycia z tożsamościami trygonometrycznymi i wzorami na funkcję sumy/różnicy kąta (czytaj: więcej ćwiczyć i robić przykłady). Zwijasz licznik ułamka w sinus sumy, a mianownik w cosinus sumy.
piotr432 -> Tak. Możesz tak to przedstawić, ale co ci to daje? Przecież to jest dokładnie to samo i na jedno wychodzi. Dodawanie jest przemienne :) Wolisz mieć najpierw niewiadomą, a później stałą?
DEXiu -> tak lepiej mi się oblicza . Dzięki nie byłem pewien tego wiec wolałem się spytać :)
a+b = b+a, dodawanie jest przecież przemienne (kolejność w jakiej dokonujemy operacji dodawania nie ma znaczenia, wynik jest zawsze ten sam). Oznacza, że są to identyczne wyrażenia, oznaczają, wynoszą dokładnie tyle samo, są tą samą liczbą. Możesz sobie zapisać a+b = c. Wtedy również b+a = c.
Nie dziwi Cię przecież, że |c| = |c|, a więc nie powinno Cię dziwić, że |a+b| = |b+a|.
****
Z odejmowaniem jest trochę inaczej. Odejmowanie nie jest przemienne. Mamy trzy przypadki. a=b, a>b, a<b. Kiedy a=b, wtedy a-b = 0 = b-a. A więc i |a-b| = |b-a| (bo |0|=|0|).
Pozostałe dwa przypadki są właściwie identyczne (jedna z liczb jest większa, niż druga), więc wystarczy rozpatrzyć jeden (w drugim przypadku wystarczy odwrócić rozumowania względem a i b; bo tam b będzie większą liczbą). Przyjmijmy więc, że a>b. Oznacza to, że istnieje jakaś liczba dodatnia k, taka że a=b+k.
Teraz:
a-b = (b+k) - b = k
b-a = b - (b+k) = b - b - k = 0 - k = - k
Jak wiemy |x| = x, dla x>=0; |x| = -x, dla x <0. Skoro k>0, więc -k<0. Tak więc |a-b| = |k| = k = |-k| = |b-a|
****
Jeśli masz problemy ze zrozumieniem dlaczego wystarczyło rozpatrzyć przypadek a>b, to może pomocna będzie uwaga, że rozumowanie powyższe można uprościć.
Nie zakładajmy w ogóle, która z liczba jest większa. Załóżmy jedynie, że nie są równe (przypadek gdy są równe już rozpatrzyliśmy). Oznacza to, że istnieje jakaś liczba k (różna od zera; ujemna bądź dodatnia), taka że a=b+k. Reszta rozumowania przebiega w ten sam sposób. Z tą jedynie różnicą, że jeśli a>b, to k jest dodatnie, a więc -k ujemne; jeśli a<b, to k jest ujemne, a więc -k dodatnie. Wówczas (poprawka!), raz masz:
|a-b| = |k| = k = |-k| = |b-a| .............(dla a>b, a więc k>0)
a raz:
|a-b| = |k| = - k = |-k| = |b-a| ...........(dla a<b, a więc k<0)
****
Ale mogliśmy - tak jak mówiłem - po prostu odwrócić wcześniejsze rozumowanie. Jeśli a<b, wówczas b>a. Więc istnieje liczba k większa od zera, taka że b=a+k. Itd. Itd. Ponieważ te sytuacje niczym się właściwie nie różnią, są symetryczne, wystarczyłoby właściwie a nazwać b, b nazwać a, i mielibyśmy dokładnie to samo rozumowanie co w pierwszym przypadku.
alpha_omega -> Co prawda DEXiu mi odpowiedział na moje pytanie ale i tak dziękuje Ci za pomoc :)
Jak udowodnić różnowartościowość funkcji f(x) = 2^x - 2(-x) ? Próbowałem udowadniać to ze zdania przeciwstawnego do definicji różnowartościowości i robić f(x1) = f(x2) ale mamy dodawanie wyrażeń z takimi samymi podstawami ale rożnymi potęgami no i nie może mi to jakoś wyjść...
Ehhh wrociłem do zadanka i udało się, w jednym miejscu wyłączając przed nawias źle przepisalem jedną zmienną :(
Zapomniałem kompletnie, że taki wątek się tutaj znajduje, ale już zdążyłem założyć inny. Jakby ktoś chciał się posiłować z prawdopodobieństewm, to prosiłbym o pomoc: https://www.gry-online.pl/forum/gol-owy-kalkulator-czyli-matematyka-krolowa-wszystkich-nauk-cz11/zdb484fe?N=1
Jak policzyć część urojoną liczby 1/(z-2i) po prostu rozpisuje z i zostawian tylko to co przy i czyli wyjdzie 1/(y-2) czy w przypadku dzielenia trzeba zrobić coś bardziej skomplikowanego ?
BANALNE PYTANIE ALE POMOCY
chce obliczyc m. zerowe y=(trzy czwarte x) - 3 NA x kwadrat - 16
dziedzina wychodzi R minus [4;-4]
podstawiam pozniej pod y=0
wychodzi x=4 i wychodzi, ze nie ma m. zerowych i ze te 4 nie nalezy do funkcji tak? pytanie dlaczego 4 nie nalezy? bo w dziedzinie jest, ze liczby rzeczywiste oprocz 4 i -4?
Will Barrows -> Zapisz to po ludzku bo łatwiej odczytać hieroglify niż domyślić się co poeta miał na myśli :/ (patrz np. notacja z pierwszego postu w wątku)
Tak lepiej. Faktycznie pytanie banalne i nie wiem skąd masz jakiekolwiek wątpliwości. Tak. Wychodzi x=4, a poniważ 4 nie należy do dziedziny, zatem funkcja ta nie ma miejsc zerowych.
DZIEKI ZA POMOC I ZNOWU PROSZE O POMOC
kolejna rzecz, ktorej nie rozumiem, a nigdzie nie moge znalezc wytlumaczenia
http://static.opracowania.pl/images/189373/miejsce_zerowe_funkcji_2.gif
przykłady: c), e), g)
w c) wychodzi x= -2 i jest m. zerowym, bo nalezy do dziedziny, w e) tak samo - x nalezy do dziedziny i jest m. zerowym. ale juz w g) nie nalezy (x= - 3 a przeciez dziedzina jest od -3 do + nieskonczonosci). czy wplyw na to ma czy przedzial jest zamkniety lub nie? : /
Oczywiscie ze ma (ogromne) znaczenie. W przedziale otwartym od -3 do dziedziny naleza wszystkie liczby wieksze od minus trzech ale samo -3 juz nie nalezy (wynika to z def przedzialu otwartego). Jezeli bylby to przedzial zamkniety ("<") to -3 by bylo dobrym rozwiazaniem
czyli powiedzmy jest przedzial <-2 do + nieskonczonosci) a x=-2
m. zerowe to wtedy -2, a gdyby to byl otwarty przedzial to juz nie?
a jakby bylo (- nieskonczonosc do -2 > i x= -2 to tez miejscem zerowym jest -2, a w wypadku przedzialu otwartego (- niesk do -2) nie ma m. zerowych?
No tak. Radze nadrobic zaleglosci z matematyki, bo potem mozesz miec problemy (a zaleglosci masz ogromne)
Witam!
Jestem nowy w tym wątku, ale mam nadzieję, że gdy poznam matematykę nieco bardziej (póki co jestem w pierwszej LO, ale jestem na mat-fiz), to dołączę do stałych bywalców tego wątku. Jestem tutaj, bo potrzebuję czyjejś pomocy. Otóż jesteśmy na lekcjach w temacie logiki matematycznej i praw rachunku zdań. Na lekcjach kilka uzasadniliśmy i dodatkową pracą domową było opracowanie własnego, które nie będzie takie jak te w podręczniku. Jako, że lubię matematykę i jestem z niej nieco lepszy niż reszta klasy, a w tym roku jeszcze tego nie dowiodłem, to postanowiłem zrobić nieco bardziej skomplikowane prawo niż oni. Oto co mi wyszło:
http://pastebin.com/HxkfXrcn
Gdy pokazałem to nauczycielowi, to powiedział, że prawdopodobnie da się uprościć, którąś część, więc tutaj moja prośba do was - czy moglibyście mi powiedzieć, czy rzeczywiście coś da się uprościć? I od razu mówię, że nie trzeba sprawdzać, czy jest to prawo rachunku zdań, bo to zrobiłem już samemu.
BliBs_Pl -> Prawą stronę tej implikacji można zwinąć do 1 logicznej (znaczy prawdy) i otrzymasz coś takiego:
(~p) v (p => q) => 1
Dalej możnaby to przekształcić do postaci:
~[(~p) v (p => q)] v 1
Zdanie jest oczywiście zawsze prawdziwe, tylko czy coś z niego tak na dobrą sprawę wynika?
w ramach nauki natknąłem się na zadanie
4/z = z należy narysować wykres czegoś takiego
i przyznam ,że troche mnie "zdziwko capło" bo nie mam pojecia jak się do tego zabrać - czy mógłbymprosić o jakąś wskazówke ?
mam pytanie z funkcji kwadratowej (banalne, jak zwykle), ale chce sie upewnic
jezeli mam
f(x)=2x(x-1) < 0
to mozna to zrobic, ze
2x=0, czyli x=0 -- - -- - x-1=0, czyli x=1
wychodzi x E (0,1) i teraz pytanie - czy do tych miejsc zerowych mogę ZAWSZE dochodzić poprzez inny sposób niż ten wyżej, czytaj - wymnazam i wychodzi
2xdokwadratu - 2x < 0
z tego obliczam delte, x1 i x2. mozna tak robic zawsze? bo miejsca zerowe wychodza takie same (oczywiscie oprocz przypadkow x do szescianu)
Will Barrows - Możesz, ale to jest bez sensu, strata czasu i jazda na około. Rozwiązanie takiej nierówności, gdy funkcja kwadratowa jest podana w postaci iloczynowej to kwestia 5 sekund liczenia w pamięci. Wymnażanie i jechanie z wyznacznikiem (tzw. deltą) to kwestia minut. Więc po co?
Chciałbym prosić o podanie działań do tego zadania:
Obwód trapezu równoramiennego jest równy 38 cm, a ramię ma długość 5 cm. Wysokość poprowadzona z wierzchołka kąta rozwartego dzieli dłuższą podstawę na odcinki, z ktrych jeden jest o 10 cm krótszy od drugiego. Oblicz
a) długość podstaw trapezu
b) pole trapezu
Domyślam się że jest to coś zapewne prostego ale nie mogę osiągnąć wyników i chciałbym dowiedzieć się jak powinienem to ugryźć
Bardzo dobrze. Dorysuj teraz wysokość z drugiego kąta rozwartego, oznacz co trzeba, wyciągnij wnioski i w zasadzie tyle
Heh, wiem że ostatecznie wyjdzie że a = 10, x = 14, b = 18, lecz w tym właśnie tkwi moje pytanie: którym obliczeniem, wiedząc że po odjęciu długości ramion i zostaniu z 28 wyliczyć wszystkie te odcinki?
Jak to najszybciej ze sobą zestawić by do tego dojść? Pewnie to banalne ale chciałbym uniknąć w przyszłości sytuacji gdzie poleci mi czas bo nie wiem jak ugryźć działanie;)
A zrobiłeś tak jak podpowiedziałem? Rysując drugą wysokość dostaniesz dwa przystające trójkąty prostokątne i prostokąt. Skoro wiesz, że podstawa jednego z tych trójkątów ma x-10 (patrz twój własny rysunek), a podstawa drugiego połączona z podstawą prostokąta ma x, to NATYCHMIAST otrzymujesz, że podstawa prostokąta ma 10. Czyli długość górnej podstawy trapezu już masz. No to teraz już chyba sam umiesz wyliczyć x i wysokość trapezu (a następnie pole)?
Panowie poradźcie:
mam dwa zbiory - liczba rodzin 165 i liczba osób w tych rodzinach 1336.
potrzebuje w jakiś sposób (losowy) wyliczyć ile z tych rodzin to rodziny jedno, dwu, trzy, cztero, piecio i szescio (lub więcej) osobowe i przydzielić odpowiednie liczby z tych 1336 osób do odpowiednich rodzin.
Czyli np.
Jednoosobowa rodzina 10 i 10 osób w tych rodzinach
dwuosobowych rodzin 20 i 40 osób w tych rodzinach
itd.
Oczywiście z zachowaniem odpowiednich danych liczbowych.
Jakiś pomysł ?
Prymitywnie, w php, ale spełnia swoją rolę: rodziny.jupe.pl
Nie zagłębiałem się jednak w ewentualne braki w losowości dla tych czy innych wartości.
Jak chcesz ten skrypt to podaj jakiegoś maila.
Acha, może się trafić, że mimo wpisania, że min. 5 członków, w wyniku będą rodziny z 4 i mniej członkami (lub w odwrotną stornę). Tak działa korekta, że dopasowuje braki lub nadwyżki "na wyjściu" do losowych rodzin by ostatecznie liczba osób była dokładnie taka jak podana (1336). Jednak można i to zmienić.
Szybkie pytanie o pomoc. Mam równanie wielomianowe
mianowicie 3/(x^3+8) - 1/(x^2-2x+4) = 1/(x^2-4)
Do wspólnego mianownika, nie patrzy mi się takie rozwiązanie. Jakieś wskazówki?
pre => Czemu nie patrzy ci się? W pierwszym wyrazie rozwijasz mianownik ze wzoru na sumę sześcianów, w drugim mianowniku masz jeden z czynników tegoż wzoru, a mianownik prawej strony rozwijasz ze wzoru na różnicę kwadratów
Ja bym nie sprowadzał do wspólnego mianownika bo wyjdzie bardzo zagmatwanie. Zamiast tego proponowałbym wymnożyć przez mianowniki, tak aby się ich w ogóle pozbyć.
Drugi jest nie rozkładalny więc musisz przez niego przemnożyć na pewno. Co do 1 i 3 to masz tam wspólny składnik (x+2) i tylko raz wystarczy przez niego przemnożyć.
wyznacz równanie osi symetrii paraboli oraz współrzędne jej wierzchołka.
a) y=x*(x - 6)
b)y=1/2*(x + 6)*(x - 2)
c)y=( 2x + 1 )*( 2x - 3)
Nalepy się odświeżenia wątkowi :)
P.S Głównie chodzi mi o to jak się wylicza te współrzędne ( Yw)
Jak znasz Xw to Yw wyznaczasz ze wzoru funkcji, czyli podstawiasz do równania i wyliczasz Yw:)
podstawiasz do wzoru , wzor masz w tablicach.
Rysujesz parabole i wlasciwie przy takich zadaniach to jak dobrze ja narysujesz to widac na rysunku.
Tak jak napisał Belert: widać to z rysunku. Parabola to taki dołek albo górka, więc oś jej symetrii będzie prostą prostopadłą do osi X przechodzącą przez wierzchołek, czyli będzie miała wzór x = Xw
Witam, czy wie ktoś z was i podzieli się jak policzyć taką calkę : 1/(2^x-1) . Ogólnie inne całki mi wychodzą, ale tutaj nei widzię żadnej drogi zeby sie za to zabrać, oświećcie mnie :)