Funkcje wielu zmiennych- podwójne minimum
Szybkie pytanko, jeśli wyjdą mi dwa minimum to wtedy muszę je wyliczyć (podstawiając do pierwotnej funkcji) i wybrać najmniejsze minimum czy wypisać oba w odpowiedzi?

I tak przy okazji, pytanie numer dwa.
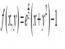
Jak się za to zabrać ->
?