
Zapisywanie np. potęg, czy dzielenie pod kreską w open office
Cześć. Potrzebuję na studiach obliczyć pewne obliczenia. Chcę to zrobić w Open Office jednak mam problem z zapisem np. dzielenia pod kreską, pierwiastków i różnych greckich liter jak "alfa", "beta", "pi" itd. Wiem, że można jakoś wybrać je wśród opcji w tym programie, jednak jest to zbyt czasochłonne.
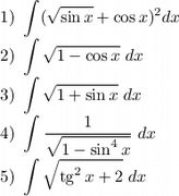
Czy jest w internecie jakaś strona, która by potrafiła w łatwy sposób zobrazować takie obliczenie jak na obrazku obok ---->
bym mógł je skopiować i wkleić na arkusz Open Office.
Zna ktoś taki?