
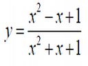
Prosta pochodna
Jak obliczyć z tego pochodną? ->
Sposób na dzielenie nijak wychodzi :|
Ogólnie to mam zbadać monotoniczność i ekstremę tej funkcji, ale wpierw trzeba obliczyć pochodną...
[1] http://pl.wikipedia.org/wiki/Pochodna -> Własności funkcji pochodnej -> Pochodna ilorazu funkcji (pochodna ilorazu).
[2] +1

(2)Po prostu wstawiłem do wzoru:
[f(x)/g(x)]' = [f'(x)*g(x) - f(x)*g'(x)]/ [g(x)]^2
I zdradzę, że nic z niego tutaj nie wychodzi, więc nie wiem za bardzo co zrobić... tutaj jest to co do tej pory zrobiłem w wersji "ładnej", bo i tak nic z tego nie wychodzi po wymnożeniu.
(3) Dzięki za wzór, w ogóle o nim nie wiedziałem, dlatego o nim nic nie wspomniałem w drugim zdaniu swojego postu ;)
Co to znaczy "nie wychodzi"? Do czego chcesz dojsc? Przeciez po wymnozeniu, w koncowej formie, zera i znak pochodnej da sie w pamieci policzyc w jakas sekunde.
To co mi wyjdzie chcę przyrównać do zera by obliczyć miejsca zerowe by znaleźć gdzie funkcja maleje, rośnie i gdzie ma max i min.
Mianownika nie ruszaj, jak już uporządkujesz licznik to przyrównaj cały ułamek do zera i pomnóż obie strony przez mianownik.
Powinno zabanglać.
BloodPrince: Dzięki... znowu! Wyszło.
nagytow: Wybacz, ale nie jestem pewien- czy chcesz się przechwalać czy pomóc.