
Pochodne Cząstkowe?
Zadanie u góry i odpowiedź na dole.
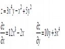
Na moje oko w pochodnej po x powinno być 12yx^3 zamiast tylko 12x^3, bo jest tam mnożenie- a Wy jak sądzicie?
Noooo... Chyba tak. To 3y jest traktowane jako stała, a pochodna jest wyciągana z x^4, więc 3y * 4x^3 = 12yx^3.
A te odpowiedzi to skąd masz?