Matematyka pytanie

Forum Uczelnia i Szkoła
Odpowiedz
27.09.2011 19:29
1
odpowiedz
cred10
15
Pretorianin
Image

Matematyka pytanie

Wzory skróconego mnożenia:
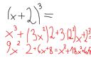
mam prosty przykład, ale dla pewności potrzebuję potwierdzenia
>>> tu rozwiązanie

i pytanie czy samo x bierzemy do 2 potęgi czy razem z trójką przed ?
tu policzyłem z 3 przed, bez mi wyszło xdo3 +6xdo2 +12x +8

27.09.2011 19:35
2
odpowiedz
DEXiu
151
Senator

A skąd w ogóle jakieś nawiasy tam się wzięły? Sam sobie utrudniasz życie. Potęgowanie wykonujemy przed mnożeniem, więc o ile podstawa potęgi nie jest w nawiasie, to nie ma komplikacji.
PRZYKŁAD:
3x^2 = 3*x^2
(3x)^2 = 9*x^2

(^2 oznacza "do kwadratu")

A tak w ogóle to strasznie pokiełbasiłeś. Błąd za błędem (i to nie w zastosowaniu wzoru, tylko w prostych działaniach z podstawówki), więc trudno mówić, żeby było ok.

27.09.2011 19:40
3
odpowiedz
cred10
15
Pretorianin
Image

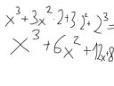
>>>

27.09.2011 20:00
4
odpowiedz
cred10
15
Pretorianin

up teraz dobrze ?

27.09.2011 20:01
Jeremy Clarkson
5
odpowiedz
Jeremy Clarkson
140
Prezenter

Tak

27.09.2011 20:02
6
odpowiedz
DEXiu
151
Senator

Teraz jest ok. A powiedz - jesteś dyslektykiem albo kimś w tym stylu? Przykład zrobiłeś dobrze (tzn. wynik końcowy), ale w przedostatnim kroku "połknąłeś" w zapisie x (później jakimś sposobem nagle wróciło). W pierwszym poście też cośtam "połknąłeś". Staraj się bardziej skupiać na tym co robisz i DOKŁADNIE przepisywać każdą linię (wbrew pozorom najwięcej błędów w żmudnych i długich obliczeniach bierze się nie z niepoprawnego pomnożenia czy dodania czegoś, tylko z wielokrotnego przepisywania rozwiązywanego przykładu (wraz z wykonywaniem kolejnych kroków) i zgubienia czegoś przy tym przepisywaniu.

Forum Forum Uczelnia i Szkoła
Odpowiedz

GRYOnline.pl:

Facebook GRYOnline.pl Instagram GRYOnline.pl X GRYOnline.pl Discord GRYOnline.pl TikTok GRYOnline.pl Podcast GRYOnline.pl WhatsApp GRYOnline.pl LinkedIn GRYOnline.pl Forum GRYOnline.pl

tvgry.pl:

YouTube tvgry.pl TikTok tvgry.pl Instagram tvgry.pl Discord tvgry.pl Facebook tvgry.pl