Matematyczny problem

Forum Uczelnia i Szkoła
Odpowiedz
04.10.2012 18:37
😊
1
odpowiedz
hajdus
27
Centurion
Image

Matematyczny problem

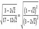
Siema, pomożecie rozwiązać ten przykład?

04.10.2012 18:41
😐
2
odpowiedz
zanonimizowany857402
19
Generał

Chyba sobie żarty robisz.

04.10.2012 18:53
3
odpowiedz
zanonimizowany740265
24
Centurion

Przykład bodajże z 2 klasy gim, więc powinieneś mieć w zeszycie wzór ogólny i wiedzieć co się robi w takich sytuacjach... Spójrz na znaki.... Zrobiłbym ci to, ale jak zobaczyłem jak ci zależy na pomocy .... Odrobina wysiłku umysłowego Ci się przyda ;)

04.10.2012 19:04
master53
👍
4
odpowiedz
master53
100
Legend
Image

Wskazówka ->

04.10.2012 19:10
5
odpowiedz
hajdus
27
Centurion

Dzięki wielkie. Teraz już sobie poradzę :D

Forum Forum Uczelnia i Szkoła
Odpowiedz

GRYOnline.pl:

Facebook GRYOnline.pl Instagram GRYOnline.pl X GRYOnline.pl Discord GRYOnline.pl TikTok GRYOnline.pl Podcast GRYOnline.pl WhatsApp GRYOnline.pl LinkedIn GRYOnline.pl Forum GRYOnline.pl

tvgry.pl:

YouTube tvgry.pl TikTok tvgry.pl Instagram tvgry.pl Discord tvgry.pl Facebook tvgry.pl