

GOL-owy kalkulator, czyli - Matematyka - Królowa wszystkich nauk. Cz.9
Wątek ten poświęcony jest przede wszystkim wspólnej pomocy w rozwiązywaniu zadań matematycznych.
-------------------------------------------------------------------------------------------------------------
Regulamin:
- Piszemy tutaj tylko i wyłącznie zadania matematyczne (czyt. nie zbaczamy na na tematykę innych przedmiotów itd.) oraz odpowiedzi na konkretne np. równanie.
- W swych wypowiedziach zważamy na wszelkie znaki interpunkcyjne oraz ogólną logikę zdań.
- Wypowiadając się nie używamy wulgaryzmów oraz obraźliwych zwrotów w stosunku do innych użytkowników forum.
-------------------------------------------------------------------------------------------------------------
Polecana NOTACJA matematyczna:
Podstawowe symbole
+ - dodawanie
- - odejmowanie
* - mnożenie
/ lub ewentualnie : - dzielenie
^ - potęgowanie
Przykład: 3^(x-2)
sqrt() - pierwiastek kwadratowy (drugiego stopnia)
Przykład: 2+sqrt(3)
sqrt[n]() - pierwiastek n-tego stopnia
Przykład: 5-2*sqrt[3](7) ("pięć minus dwa pierwiastki sześcienne (pierwiastki trzeciego stopnia) z siedmiu")
[] () - nawiasy w kolejności od najbardziej zewnętrznych. Polecamy jednak używać tylko nawiasów okrągłych () - również zagnieżdżając jedne w drugie - gdyż nie powoduje to niejednoznaczności, a nawiasy kwadratowe [] mogą także oznaczać część całkowitą liczby.
UWAGA! Pilnuj, aby każdy otwarty nawias miał swoje zamknięcie! W przeciwnym razie wyrażenie jest praktycznie nie do odczytania!
Przykład: 1/(1+1/(1+1/(1+1/(...))))
inf - symbol nieskończoności
Litery greckie i inne symbole specjalne można zapisywać słownie lub dowolnym znakiem pod warunkiem opisania co on oznacza!
Ułamki zwykłe
Należy używać nawiasów aby licznik i mianownik były jednoznaczne.
Przykład: (3+7x)/(2y-5)
Przykład: 3+7x/(2y-5)
Przykład: 3+7x/2y-5
Powyższe przykłady NIE SĄ tożsame!
Ułamki piętrowe
Tu również należy używać nawiasów.
Przykład: (3+7x)/(2y-5/(17+2*z))
Liczby mieszane
Dla jednoznaczności liczby mieszane typu 3 1/2 ("trzy i jedna druga") należy zapisywać jako sumę, np. (3+1/2) - często będzie konieczne ujęcie jej w nawias - lub ułamek niewłaściwy, np. 7/2. Preferowany jest jednak zapis w postaci ułamka dziesiętnego (tam gdzie to możliwe, tzn. gdy ułamek taki nie będzie miał nieskończonego rozwinięcia dziesiętnego)
Przykład: (3+1/2)
Przykład: 7/2
Przykład: 3,5
-----------------------------------
Powyższa notacja jest wzorowana na składni LaTeXa. Nie polecamy jednak stosowania tej składni w pełnej wersji - forum GOL nie obsługuje markerów TeXa i nie przetwarza formuł, które z kolei są trudne do czytania przez ludzi.
-------------------------------------------------------------------------------------------------------------
Przydatne linki przy rozwiązywaniu zadań:
- http://www.matmana6.pl/
- http://www.poolicz.pl/
- http://www.obliczone.pl/
- http://www.wolframalpha.com/
- http://matematyka.pisz.pl/
-------------------------------------------------------------------------------------------------------------
Nowa część wątku zostanie utworzona po przekroczeniu 200 postów.
-------------------------------------------------------------------------------------------------------------
GOL-owi matematycy:
- lajtowy ziomek:) | Ogólnie: zakres wiedzy obejmujący materiał do klasy 3 Liceum. Chętnie pomogę z funkcji kwadratowej oraz wszelkich równań, nierówności. Słabość - Geometria. :P
- Filevandrel | Cały materiał LO i materiał z 2 lat studiowania elektroniki, łapać na maila [email protected] zawsze chętnie odpiszę!:)
- tomazzi | podstawówka, gimnazjum, liceum, co nie co ze studiów. Lubię zadania na rozkminkę :P
- DEXiu | cały zakres do szkoły średniej włącznie; matematyka "wyższa" na poziomie studenta uczelni technicznej (nie matematyki na uniwerku:) - mat. dyskretna, geometria, analiza, algebra, statystyka, probabilistyka; bardzo chętnie zadania i zagadki logiczne
- Maco | Zakres do LO i troszkę matematyki wyższej | Pięta achillesowa - trygonometria
- $ebs Master | Zakres - liceum, studia bez prawdopodobienstwa
- Łysy. | Cała rozkminka aż do liceum, szczególnie lubię geometrię. Potem analiza, algebra, podstawy dyskretnej, podstawy probabilistyki.
- Mathmi Thenthur | matematyka na poziomie szkoły średniej plus studia ekonomiczne: analiza, algebra, statystyka, rachunek prawdopodobieństwa; wybitnie nie lubię geometrii
- jagged | Zakres szkoły średniej + semestr informatyki na EAIiE (AGH) + wciąż studia informatyczne na Politechnice
-------------------------------------------------------------------------------------------------------------
Linki do bannerów:
- http://img685.imageshack.us/img685/9937/bannermatematyka.jpg ~by A's
- http://img232.imageshack.us/img232/9959/bannerme.png ~by lajtowy ziomek
- http://img842.imageshack.us/f/matma2j.jpg/ ~by A's
-------------------------------------------------------------------------------------------------------------
Poprzednia część:
https://www.gry-online.pl/forum/gol-owy-kalkulator-czyli-matematyka-krolowa-wszystkich-nauk-cz8/z1a94991?N=1

Rozwiązywałem takie oto zadanie ---------------------->
I tak jak podpunkt a) zrobiłem tak, b) nie wiem a do c) mam wątpliwości
Policzyłem że pole |ABD| jest równe 30, więc h trapezu jest równe = 4 i 8/13 ale pola |BCD| nie wiem jak wyliczyć. Znacie jakąś zależność która pomoże coś tam wyłuskać ?
A co do podpunktu c), nie wiem czy dobrze rozumuje ale wydaje mi się że promień okręgu opisanego na trapezie jest równe połowie dłuższej podstawie, czyli 13/2 = 6.5
Jak zwykle nie proszę o rozwiązanie a o jakiś trop
sokrates92 --> co do podpunktu c) masz racje, tylko ze to sie tyczy tego konkretnego przypadku :) Nie zawsze srodek okregu opisanego na trapezie rownoramiennym wypada w srodku jego podstawy.
Na przyszlosc zeby cos takiego policzyc musisz skorzystac z twierdzenia sinusow. Jezeli trapez jest rownoramienny to wystarczy ze okrag bedzie opisany na trojkacie ADB co widac chyba z rysunku. Majac dane wszystkie boki trojkata, liczysz sinus ktoregos z katow i korzystasz z tw sinusow.
edit. a co do pola trapezu wystarczy wykorzystac podstawowy wzor na jego pole 1/2*(a+b) *h gdzie "a" i "b" sa to podstawy trapezu a "h" to wysokosc ktora sobie juz policzyles :)
Wskazówka jak policzyć długość krótszej podstawy (warto zapamiętać, bo to prosty "trick" i w zadaniach z trapezami przydaje się BARDZO często):
pociągnij sobie wysokości z obu końców krótszej podstawy. Zauważ, że dzielą one dłuższą podstawę na trzy odcinki (przeważnie - jeśli trapez będzie prostokątny, to na dwa a nawet jeden - dla prostokąta ;) z których jeden ma długość równą długości krótszej podstawy, a dwa pozostałe łatwo wyliczysz z tw. Pitagorasa (znając wysokość i długości ramion).
Koleżanka poprosiła mnie o pomoc w napisaniu kilku programów:
1. Program pyta o ilość znaczących bitów, dla ustalenia uwagi n, a następnie wypisuje na ekranie, ile liczb całkowitych może być przedstawione w systemie uzupełnieniowym U1 przy tej ilości bitów, po czy wypisuje je wszystkie w kolejności rosnącej (ilość cyfr usi być równa podanemu n).
2. Użytkownik podaje liczbę naturalną w kodzie czwórkowym. Program podaje reprezentację tej liczby w kodzie ósemkowym, a następnie, przy pomocy zaimplementowanej funkcji, konwertuje wynik z powrotem na kod czwórkowy, wypisując wszystkie wyniki na ekran.
3. Użytkownik wypisuje ciąg zer i jedynek będący binarnym zapisem ułamka zwykłego (np. 0.0101011) oraz podaje liczbę naturalną n. Program przy pomocy funkcji zaokrąglającej ma podać zaokrąglenie tej liczby do n miejsc po przecinku, a następnie napisać , jaki błąd zaokrąglenia popełniamy (uwaga: zaokrąglenie to nie zwykłe obcięcie końcówki!).
2 rozumiem całkowicie, zwykła zamiana systemów liczbowych. 1 wcale nie rozumiem, co to jest te U1? W 3 nie rozumiem co to jest błąd zaokrąglenie, to różnica między liczbą a jej zaokrągleniem?
parę dni minęło, ale napiszę
tomazzi:
kod binarny u1 to taki, w którym liczby dodatnie zapisane są tak samo jak w tradycyjnej binarce, zaś liczby ujemne zapisywane są przez negację wszystkich bitów.
przykład: 9=00000101 -9=11111010
Czy wolfram alpha dobrze rozwiązał tę pochodną? Bo mam wątpliwości.
Bo mnie uczyli, że pochodna z ilorazu to jest (iloczyn pochodnej licznika i mianownika - iloczyn pochodnej mianownika i licznika)/(mianownik^2)
I wychodziłoby mi (0,5y^2 + 0,5ya)/(y+a)^2
Raczej dobrze. Jak sobie sam x wyłączysz z ułamka to przecież to wszystko jest równe x razy cała reszta (traktowana przy liczeniu pochodnej cząstkowej jako stała). Pochodna z x to 1, więc zostaje ta cała reszta. Jak dla mnie wszystko w porządku, jakie są Twoje wątpliwości?
Dodałeś edit. Tylko że przy takim zapisie, jak podałeś, tam nie ma żadnych ilorazów, bo poprosiłeś o pochodną cząstkową względem zmiennej x, która występuje przecież tylko w liczniku. To x i y to są jakieś funkcje innej zmiennej czy jak?
Nie, to są stałe, ale tak zapisałem, bo było wygodniej :)
A no w takim razie fakt, wszystko jasne. W mianowniku nie ma zmiennej, więc wszystko prócz x jest jedną stałą, niepomyślałem, piszę sprawozdanie i wszystko robię mechanicznie ;p
mineral --> to zle by ci wychodzilo bo przy "iloczyn pochodnej mianownika i licznika" wychodzi 0 poniewaz pochodna liczysz wzgledem zmiennej x, a y przyjmujesz jako wartosc stala.
Może ktoś będzie zorientowany bo ja już niestety nie pamiętam. Jaki materiał obowiązuje gimnazja? Jest tam coś trudnego w wytłumaczeniu?
tomazzi--> Z tego co się orientuję, to najtrudniejszym z działów w gimie jest geometria przestrzenna (a przynajmniej takie głosy chodzą w mojej okolicy). ;P
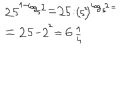
Prosiłbym o wytłumaczenie tego zadania ? dlaczego w drugim wyrazie nagle pojawia się 5 z wykładnikiem potęgi 2, a za nawiasem z logarytmem ? I dlaczego to się upraszcza do 2^2 w kolejnym zapisie ?
Oczywiście w podanym przeze mnie przykłądzie jest błąd, w trzecim wyrazie powinno być 25 : 2^2 a nie 25 - 2^2
Po kolei, co musisz wiedzieć:
1. x^2 * x^3 = x^5 (mnożąc potęgi tego samego x, dodajemy wykładniki), tak samo w drugą stronę, możemy wykładnik rozbić na sumę wykładników
Stąd też pierwsze przejście: 25^(1-log) to [25^1] * [25^(-log)], czyli 25 : 25^log
2. 25=5^2, stąd w drugim wyrazie pojawiła się nagle i niespodziewanie 5 z wykładnikiem potęgi 2
3. potęgowanie potęgi jest przemienne, a więc (5^2)^(log)=(5^log)^2
4. potęgowanie i logarytm są funkcjami odwrotnymi, więc się wzajemnie "znoszą", o ile podstawa potęgi i podstawa logarytmu to TA SAMA liczba, tak jak tutaj.
Zatem: 5^log[5]2=2
5. 2^2=4
6. 25/4=6 i 1/4
Ok dzieki wielkie za pomoc :) Chyba zrozumiałem ;p
Wybaczcie, chyba się trochę zapędziłem z założeniem nowego wątku, co prawda mam problem z fizyką, ale dotyczący jedynie matematyki więc wstawię tutaj ;)
Niepewność pomiarowa średniej arytmetycznej kilku pomiarów - jak uzyskać ?
Właśnie robię sprawozdanie na laboratorium z fizyki i główkuję co zrobić z tymi przeklętymi niepewnościami.
Np. Mam 5 pomiarów: 128,2; 127,9; 127,2; 127; 126,1; z czego wiem, że niepewność każdego pomiaru z osobna wynosi +-0,1. Jednak w jaki sposób uzyskać wartość niepewności ich średniej arytmetycznej ? (która wynosi dokładnie 127,28)
Z góry dziękuję za wszelkie wskazówki
[17]
s = pierwiastek(suma(xi-xśr)^2/(n-1))
robisz to tak:
lp - xi - |xi-xśr| - |xi-xśr|^2
1 - 128,2 - 0,92 - 0,8464
2 - 127,9 - 0,62 - 0,3844
3 - 127,2 - 0,08 - 0,0064
4 - 127,0 - 0,28 - 0,0784
5 - 126,1 - 1,18 - 1,3924
śr - 127,28 -
suma |xi-xśr^2|: 2,708
n-1 = 5 - 1 = 4
s = pierwiastek(2,708/4)=pierwiastek(0,677)=0,8228
czyli twój wynik to:
127,28 +- 0,823 albo nawet
127,3 +- 0,8
w zależności jak zaokrąglać :)
Mógłby ktos mi wytłumaczyć jak zrobić to zadanie. Nie rozumiem go całkowicie.
Dla jakich wartości parametru m równanie 2^x =m+2 ma rozwiązanie
Z góry dzieki za pomoc ;)
3, 4, 10.
Dla koleżanki.
Gdyby nie był to problem prosiłbym o wytłumaczenie:
Liczba dodatnich wyrazów ciągu an = -n^2 +3n +18 jest równa
A) 8 B) 7 C) 6 D) 5
Wiem, że ma wyjśc odpowiedź D), jednakże jak to wyliczyć ?
an = -n^2 + 3n + 18
Zamieniasz sobie to na normalną funkcję kwadratową.
-x^2 + 3x + 18
Szukasz wartości dodatnich więc:
0 < -x^2 + 3x + 18
Liczysz miejsca zerowa itd.
Liczysz miejsca zerowe tej funkcji kwadratowej. Dzięki temu wiesz kiedy przyjmuje ona wartości dodatnie. Do tego dochodzi założenie, że n>0. Teraz już powinieneś dać radę ;)
acer ==> Traktujesz wzór na wyraz ciągu jako funkcję kwadratową i badasz w jakim przedziale będzie ona dodatnia (wyliczasz pierwiastki (miejsca zerowe) i bierzesz przedział otwarty ograniczony nimi - mam nadzieję że wiesz dlaczego tak). Następnie wybierasz z tego przedziału tylko liczby naturalne (zastanów się dlaczego)
Okej, dzięki wielkie ;)
Jeśli możecie, to powiedzcie mi jeszcze.
Jeśli mam podany wzór na sumę n początkowych wyrazów ciągu, to jak wyliczyc n-ty wyraz tego ciągu ? Np 5 ?
n-ty wyraz ciągu = suma n początkowych wyrazów minus suma (n-1) początkowych wyrazów ;)
arytmetyczny
Ed
DEXiu - Dzięki ;)

pomożecie z logarytmów :
potrzeba mi jakiejś wskazówki tudzież sposobu rozwiązania,
twierdzenie o zamianie podstawy logarytmu?
prosze o wskazówkę, jeżeli komuś chciało by się napisać rozwiązania byłbym niezmiernie wdzięczny, ale chciałbym na podstawie wskazówki sam dojśc do rozw.
3.97 zrobiłem już , wiec pomoc potrzebna tylko do 3.96
xkxtx--> Nie wiem czy to wina mojej przeglądarki, ale u mnie się wyświetla pusta "kartka"/strona - żadnych zadań nie widać. ;P
Witam, pomoże ktoś z zadaniem 3 podpunkty a i c?
http://imageshack.us/m/27/1936/dsc01970aw.jpg
I następne pytanie ogarnia ktoś informatykę, chodzi mi o takie proste zadano?:)
kali93 ==> Podpunkt a: jeśli nie widzisz tego od razu, to zastosuj wzór na zmianę podstawy logarytmu (log_‹a›(b) = log_‹c›(b) / log_‹c›(a))
Podpunkt c: zamień podstawę potęgi na potęgę tego, co jest w podstawie logarytmu (zamiast x^log będzie (y^cośtam)^log) i skorzystaj z tego, że możesz zamienić potęgi kolejnością.
A jak "zadano z infy" jest proste, to czemu sam nie zrobisz?
DEXiu--> Rozwiązanie musi być prostsze, są to zadania z pracy klasowej a wzór na zmianę podstawy logarytmu jest dla klas z rozszerzoną matmą gdzie moja klasa nie jest takową ( aczkolwiek wzór znam, umiem zastosować) A za zadanie z infy jako tako sam się zamieszałem i nie mogę odmieszać:P Pomożesz?:)

Ja ogarniam informatyke.
co do podpunktów w [35], to masz na screenie rozwiązania, dość proste, wystarczyło wykonać działania na potęgach rodem z gimnazjum i pamiętać, że logarytm wyznacza potęgę do jakiej trzeba podnieść liczbe z podstawy by otrzymać liczbę logarytmowaną.
xkxtx - mógłbyś napisać, jak zrobiłeś 3.97? To może ja Ci pomoge zrobić 3.96 :D
xkxtx - przykład a, resztę sam zrobisz:
log_49(16) = log_7^2(2^4)=4*log_7^2(2)=1/2 * 4 * log_7(2) = 2log_7(2).
http://upload.wikimedia.org/math/f/5/6/f56acc9a6daa72409919994a5473526b.png
http://upload.wikimedia.org/math/5/5/d/55db8ad10d66751b15c3b833d3b1bce4.png
tomazzi - do tego samego punktu ja właśnie doszedłem, tylko nie wiedziałem jak to przerobić na log_14(2)
log_49(16) = 2log_7(2)
log_14(2) = log_7(2) / log_7(14) = log_7(2) / log_7(2) +log_7(7) = log_7(2) / log_7(2)+1 = a
czyli:
a= (log_49(16)/2) / ( (log_49(16)/2)+1)
//skrót myślowy log=log_49(16)
a=log/2 / log/2 +1
log/2 = alog/2 + a
log = alog + 2a
log - alog = 2a
log(1-a) = 2a
log = 2a/(1-a)
Jak źle to niech mnie ktoś poprawi.
Może mi ktoś pomóc z całką nieoznaczoną ln^2x ?
Wiem tylko tyle, że trzeba to przez części zrobić ale nie mam zupełnie pomysłu jak to zrobić.
http://www.wolframalpha.com/input/?i=integrate+%28ln%28x%29%29%5E2
a konkretnie interesuje Cię to, co jest pod guzikiem "show steps":
Uczę się na sprawdzian z funkcji wymiernych, robię pierwszy przykład i się zaciąłem.
Jest tak: mam funkcję wymierną, mam obliczyć pierwiastek wielomianu i w tym celu jest to rozwiązanie rozpisane. Nie rozumiem tylko jednej rzeczy, ale najpierw to rozwiązywanie równania:
x^3 + 10x^2 + 25x = 0
x(x^2 + 10x + 25) = 0 *
x(x + 5)^2 = 0 *
x = 0 v (x + 5)^2 = 0
x = 0 v x = -5
Chodzi mi o te dwa wersy oznaczone gwiazdką. Rozumiem, że cały nawias bierzemy do kwadratu i z x^2 robi nam się x, a z 25 robi nam się 5. Ale co z tym 10x? Gdzie to się podziało?
To jest ze wzoru skróconego mnożenia:
(a+b)^2 = a^2 + 2ab + b^2
w tym wypadku:
(x+5)^2 = x^2 + 2*x*5 + 5^2 = x^2 + 10x + 25
hipppciu - racja, wielkie dzięki!
w kontekscie tego wątku:
https://www.gry-online.pl/forum/funkcja-kwadratowa-bede-wdzieczny-za-pomoc/z0acec40
sprawa wygląda tak, miałem funkcję kwadratową, okej.
teraz muszę sie nauczyć jak wyliczać "a" z 2 typów funkcji
y=a(x-x1)(x-x2)
i
y=a(x-p)2*q
to całe "a" zwało się współczynnik kierunkowy, jak się nie mylę.
a = y/(x-x1)(x-x2)
a = y/(x-p)2*q
Jeżeli źle to naucz się zadawać pytania.
Tomazzi: Tak, moj błąd przepraszam
byłbym wdzięczny za przykład tego równania z opisem.
Jarowit ==> Ale "a" (nie, współczynnik kierunkowy to było "a" ale dla funkcji liniowej a nie kwadratowej) jest zazwyczaj DANE, więc nie ma sensu go wyliczać. Jeśli to nie o to chodziło to... tak jak pisze tomazzi - zadaj sensowne pytanie.
y=6
x=7
x1=4
x2=5
6=a(7-4)(7-5)
6=a(3)(2)
6=6a
1=a
Hm, w takim wypadku posiądę drogą kradzieży jutro zeszyt kogoś i dokładnie przeanalizuje, w razie czego zgłoszę się tutaj.
edit:
Tommazi, dziekuję Ci!
I to było takie trudne?

Szybkie pytanie - jak usunąć niewymierność z takiego pierwiastka ? -> Zadanie jest wykazać, że ta liczba jest równa innej, ale rozumiem, że to wyjdzie jak się dobrze tą niewymierność usunie.
btw. przepraszam za "jakość" :D
sajes - wzór skróconego mnożenia.
a = sqrt_3(7)
b = sqrt_3(3)
Masz (a-b), jak pomnożysz przez (a^2+ab+b^2) to będziesz miał a^3-b^3.
Mam taki logarytm (3^√3)^X=27 (pierwiastek z 3 do potęgi trzeciej do potęgi X). Potem te (3^√3)X^ zamienia się na (3 i 1/3)X^. Może mi ktoś wytłumaczyć jak do tego dochodzi?
KANTAR1 - kompletnie nie rozumiem - i logarytmu (z czego?), i tego działania. Postaraj sie to zapisać bardziej czytelnie, np. w Wordzie albo w jakimś paincie?
Równania i nierówności (można wszystko obliczyć deltą), obliczanie największej i najmniejszej wartości, wyznaczanie liczb, wyznaczanie funkcji za pomocą postaci iloczynowej
Proszę o przykład danego typu równania/wyliczenia.
Może mi ktoś wytłumaczyć skąd po potęgowaniu wzięło się to 2sinus alfa cosinus alfa?
http://screenshooter.net/7404871/mckdlrc
(a+b)^2 = a^2 + 2ab + b^2
[63]
2*x^2 - 3*x + 1 = ?
Największa i najmniejsza wartość funkcji: f(x) = x^3 - 3*x + 2 w przedziale [0,2).
Suma dwóch liczb wynosi 26, a ich iloczyn 69. Wyznacz te liczby.
Wyznacz funkcję, której postać iloczynowa to: 2*(x - 6)(x + 9).
Siemka :) pisze do was ponieważ jutro musze poprawić ocene z matematyki na 3 na koniec roku :) i chciałbym , wręcz BŁAGAM aby ktoś wytłumaczył mi uklady rownan i rownania oraz jak sie je uklada(ale to dopiero po tym jak sie czegos naucze) .. jestem strasznym tumanem z matmy i mam nadzieje ze komus uda sie czegos mnie nauczyc :) oczywiscie na biezaco bee pisal :) a na teraz POMOCY !!! :)
Masz link. W domu masz też pewnie książkę, w której wszystko jest dokładnie wytłumaczone.
Ciężko tak na sucho wytłumaczyć bo nawet nie wiadomo czego konkretnie nie rozumiesz(odpowiedź "wszystkiego" nie jest na miejscu), więc lepiej daj jakiś konkretny przykład. Pokaż jak go rozwiązujesz a my CI powiemy gdzie popełniasz błąd.

Eh, nigdy nie ogarniałem geometrii. Ktoś byłby tak uprzejmy i wsparł?
W 8. wyszło mi, że C ma 130*, A i B po 25*. Łuk stanowi 36% długości. Prosta AO nie jest równoległa, tylko czemu?
W 9. r1=6, r2=2. O1A wychodzi mi takie, jak r1.
Niczego nie jestem pewny, a zależy mi, by wiedzieć, jak to zrobić...
Dzis juz pozno i zmeczony jestem, jak ci nikt jutro nie wytlumaczy to postaram sie po robocie znalezc troche czasu
Czworokąt ABCO: kąty przy wierzchołkach O-130, B-50, A-65, C-115. Suma O+B=A+C=180 czyli czworokąt to trapez. Trapez ma równoległe podstawy.

Witam. Możecie mi pomóc z zadaniami 2,3,4 ? Jest mi to dość potrzebne, a niestety sam nie daję rady.
2. Obwód trójkąta powstałego z połączenia środków boków innego trójkąta jest od niego dwukrotnie mniejszy. Szczerze to wnioskuje to intuicyjnie i wydaje mi sie ze tak jest, jak chcesz moge skombinowac jakiś dowód.
3. Twierdzenie Talesa. Stosunek DE do AB jest taki sam, jak DC do BC.
4. Kąt wpisany oparty na średnicy jest równy 90 stopni, więc średnice możesz obliczyć z twierdzenia pitagorasa, długość będzie wtedy formalnością. Co do odległości wierzchołka od średnicy, musisz obliczyć oczywiście wysokość trójkąta. Miałeś już trygonometrie? Oblicz to za pomocą sinusa lub cosinusa jednego z kątów ostrych, zauważ, że można go wyliczyć na podstawie dwóch różnych stosunków. Jeśli nie wiesz o co chodzi, to pisz.
Dzięki za pomoc, sprawdzian poszedł mi dobrze.
Trygonometrie miałem, ale do obliczenia h nie była potrzebna. Wystarczyło pole trójkąta i odpowiednie przekształcenie wzoru na nie.
Siemka, jak z tego wyliczyć fi?
http://www.matematyka.pl/latexrender/pictures/b9691fb64a8cc1f0d436a70e70a34dec.png
Powtarzam powoli do egzaminu i nie wiem jak rozwiazać takie zadanie:
z^3 -i = 3^1/2
tzn nie wiem jak policzyć Z0, bo później się do wzoru podstawia i redukuje :P
"i" na prawo, 2 przed nawias i zobacz co masz w nawiasie (postać trygonometryczna, de Moivre)
a takie równanie jak rozwiązać ?
xy'+y=x+1
Pewnie i łatwe ale nie mogę tego znaleźć ...
i drugie y'=ytgx+3cos^(2x)
W związku z tym, iż rozpoczął się już oficjalnie okres wakacyjny, to nową część, utworzę dopiero coś ok. okolic września (bez względu na liczbę postów, chyba, że przekroczy ona liczbę 300-tu). A tymczasem pragnę podziękować wszystkim tym, którzy zarówno powierzali nam swoje zadania, jak i tej części,, która je rozwiązywała, poświęcając przy tym swój czas oraz wykazując się bezinteresownością, a tym samym przyczyniając się do dalszego rozwoju tego cyklu wątków. Za to raz jeszcze dzięki - pozdrawiam.
Ej możecie zobaczyć czy dobrze rozkminiam kat fi?
Jestem pewien tego 1/3 pi bo mam tangens pierwiastka z 3 ale nie wiem co z dołem....
Zważywszy na to, iż już wkrótce początek roku szkolnego (nie dla wszystkich, ale jednak na potrzeby wątku, jak i przede wszystkim jego bywalców...) reaktywujemy GOL-owy wątek matematyczny - już od 1 września (czyt. wtedy zostanie założona przeze mnie nowa część z omawianego cyklu). A przed tym prosiłbym o ew wpisy do listy, czy też jej modernizację (być może ktoś pragnie dodać jakieś sprostowanie do swojego wątkowego 'profilu').
Oto lista:
GOL-owi matematycy:
- lajtowy ziomek:) | Ogólnie: zakres wiedzy obejmujący materiał do klasy 3 Liceum. Chętnie pomogę z funkcji kwadratowej oraz wszelkich równań, nierówności. Słabość - Geometria. :P
- Filevandrel | Cały materiał LO i materiał z 2 lat studiowania elektroniki, łapać na maila [email protected] zawsze chętnie odpiszę!:)
- tomazzi | podstawówka, gimnazjum, liceum, co nie co ze studiów. Lubię zadania na rozkminkę :P
- DEXiu | cały zakres do szkoły średniej włącznie; matematyka "wyższa" na poziomie studenta uczelni technicznej (nie matematyki na uniwerku:) - mat. dyskretna, geometria, analiza, algebra, statystyka, probabilistyka; bardzo chętnie zadania i zagadki logiczne
- Maco | Zakres do LO i troszkę matematyki wyższej | Pięta achillesowa - trygonometria
- $ebs Master | Zakres - liceum, studia bez prawdopodobienstwa
- Łysy. | Cała rozkminka aż do liceum, szczególnie lubię geometrię. Potem analiza, algebra, podstawy dyskretnej, podstawy probabilistyki.
- Mathmi Thenthur | matematyka na poziomie szkoły średniej plus studia ekonomiczne: analiza, algebra, statystyka, rachunek prawdopodobieństwa; wybitnie nie lubię geometrii
- jagged | Zakres szkoły średniej + semestr informatyki na EAIiE (AGH) + wciąż studia informatyczne na Politechnice
Mam problem z pewną całką niewłaściwą:
http://www.wolframalpha.com/input/?i=integral+%281%2F%28xln^2x%29%29+from+0+to+1%2Fe
Mi jednak wychodzi ciągle, że całka jest rozbieżna.
Całka nieoznaczona wychodzi mi równa:
ln^3 x / 3
i to jest jeszcze napewno dobrze.
Całka oznaczona wychodzi mi równa
(-1/3) - (ln^3E) / 3
gdzie E to podstawiony za 0 epsilon
i przez to, że ln z 0 = nieskończoność, całka wychodzi mi rozbieżna...
ktoś mógłby napisać czy to zdanie jest poprawnie zapisane (logika)
,,Jeżeli jeżeli q to p, to jeżeli p to q'' <-- ,,jeżeli jeżeli'' jest celowo
(q=>p)=>(p=>q)
Jest ok (jeśli chodzi o zapis symboliczny tego, co napisałeś słownie). Inna rzecz czy i kiedy to zdanie jest prawdziwe ;)
w system zero jedynkowy po pierwszym wykładzie z logiki nie mam zamiaru się jeszcze bawić :P dzięki za pomoc
Marcio --> Czemu jesteś pewien swojej całki nieoznaczonej, skoro po policzeniu z niej pochodnej nie wychodzi to, co całkujesz?
http://www.wolframalpha.com/input/?i=derivate+%28ln%5E3x%29%2F3
Zdaniem Wolframa prawidłowa całka nieoznaczona to -1/ln(x)
http://www.wolframalpha.com/input/?i=integral+%281%2F%28xln%5E2x%29%29 jak klikniesz show steps to masz krok po kroku to wyliczone.
Oke - widzę, iż nie ma większych problemów z odnalezieniem się w 'starej' części, zatem nową założę zgodnie z 'wstępniakowymi wytycznymi'. A do tego czasu tradycyjnie namawiam was do powierzania nam swych zadań. ;)
Up, bo już lecą wątki, które można by spokojnie podpiąć bod tematykę 'naszego' wątku.
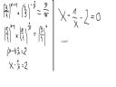
No i? O co w tym chodzi? Mam powiedzieć czy 50x(do potęgi 2) - 200x, gdzie x=4.35 równa się 250?

--->
2 pytania.
-Czy powinno być do tego jakieś założenie?
-Po prawej stronie nie mogę kontynuować, bo jeśli sprowadzam do wspólnego mianownika (x) to wychodzi coś dziwnego. Nie mógłbym potem pomnożyć równania przez x. Jak z tego wyjść?
Po pierwsze: (x-1)*(1/x) = x*(1/x) - 1*(1/x) = (x/x) - (1/x) = 1 - (1/x)
Po drugie: Jeśli jakiś x jest w mianowniku ułamka muszą być założenia, x musi być różny od 0, bo przez 0 się nie dzieli.
Po trzecie: wyrażenie x - (1/x) - 2 = 0 wystarczy przemnożyć przez x, otrzymasz wtedy x^2 - 2x - 1 = 0, a takie coś powinieneś już umieć rozwiązać :]
pozdro!
Hm.. mam zadanie z planimetrii, dziś trochę nie uważałem i oto są efekty..
Jaką figurą jest zbiór wszystkich punktów P płaszczyzny, dla których |OP| < r, gdzie 'O' jest ustalonym punktem płaszczyzny, a 'r' liczbą dodatnią?
Oczywiście nie proszę o rozwiązanie. Proszę o pomoc :)
sprawdź definicję koła. ale podpowiadam, że przy znaku "<" koło nie będzie prawidłową odpowiedzią.
łysy - no właśnie chciałem tak zrobić, ale mam ciągle wpajane że mam nie mnożyć obustronnie razy x
Kombinatoryka, pomoże ktoś?
Ustawiamy w sposób losowy litery z słowa Alogrytm na ile sposobów można to zrobić?
gdy na pierwszym miejscu ustawimy samogłoskę a na ostatnim spółgłoskę
kali93 ==> Pewnie już za późno, ale: litery się nie powtarzają, więc jest łatwiej. Na pierwszym miejscu można ustawić jedną z 3 samogłosek, a na ostatnim jedną z 5 spółgłosek. Wówczas na pozostałych miejscach mamy do ustawienia 6 liter. Ostatecznie dostajemy:
3 * 5 * 6! = policz sobie sam ;)
sokrates92 ==> Bo mnożenie obustronne przez niewiadomą jest niebezpieczne, ale można to zrobić jeśli się wie, co się robi oraz kiedy i dlaczego można.
Przede wszystkim nie wolno mnożyć obustronnie przez niewiadomą (w nieparzystej potędze - w szczególności w pierwszej) nierówności. CHYBA ŻE znamy znak niewiadomej (np. skądś wiemy, że x>0 - wtedy bez problemu można pomnożyć nierówność obustronnie przez x).
Z równaniami jest prostsza sprawa - tutaj wolno nam pomnożyć przez niewiadomą w dowolnej potędze, ale TYLKO jeśli wiemy, że jest ona różna od 0. W omawianym przykładzie z założeń wiemy, że x jest różne od 0, poza tym jest to równanie (a nie nierówność) więc wolno nam pomnożyć :)
A tak w ogóle to chyba pomyliłeś się w obliczeniach - mnożąc potęgi o tej samej podstawie wykładniki dodajemy a nie mnożymy.

Witam, nudzicie się? :P
Może ktoś zechce pomóc i powie mi jak się robi takie zadania? :) -->
weneckie ==> Ad. 1: pierwsza pochodna. Tam gdzie >0 - f. rosnąca; jeśli <0 - f. malejąca; jeśli =0 to punkt może być ekstremum; ponadto ekstremów szukać w punktach, gdzie pochodna nie istnieje oraz na krańcach przedziału w jakim rozpatrujemy funkcję (tutaj ani jedno ani drugie nie ma miejsca)
Ad. 2: druga pochodna. Tam gdzie >0 - f. wypukła; jeśli <0 - f. wklęsła; jeśli =0 ORAZ w danym punkcie zmienia znak (na lewo jest <0 a na prawo >0 lub na odwrót), to mamy punkt przegięcia.
Aha, czyli tylko policzyć pochodną i spojrzeć czy ujemne czy dodatnie, tak? :P
ponadto ekstremów szukać w punktach, gdzie pochodna nie istnieje oraz na krańcach przedziału w jakim rozpatrujemy funkcję (tutaj ani jedno ani drugie nie ma miejsca)
A z tym jak? Jakby był podany przedział, to co trzeba zrobić (bo możliwe że był podany, to są zadania z egzaminu przez kogoś tam spisane na szybko bez szczegółowych poleceń)?
[107]
Jeżeli masz podany przedział liczysz wartości na krańcach tych przedziałów, ponadto szukasz ekstremum licząc pierwszą pochodną. Porównując wartości na krańcach i z pierwszej pochodnej możesz wywnioskować jakie jest ekstremum funkcji w tym przedziale. Może się zdarzyć, że obliczone ekstremum nie będzie należało do danego przedziału wtedy któraś z wartości na krańcach będzie ekstremum funkcji w tym przedziale. Jeżeli źle mówię niech DEXiu mnie poprawi.
Mam pytanie o pochodne cząstkowe funkcji dwóch zmiennych. Otóż jak mam jakąś tam funkcję f(x,y), to liczę najpierw f`x potem f`y i do tego momentu jest ok. Natomiast później mam do policzenia f``xx, f``xy itd. i tu już nie wiem co zrobić, bo w moim zajebistym zeszyciku magicznym sposobem znalazły się same wyniki przy przykładach :P Pamiętam, że w tym nie było nic skomplikowanego, ale samej reguły już nie mogę sobie przypomnieć.
Z góry dzięki.
f``xx czyli f(x,y) liczysz pochodną po x, a następnie z wyniku znowu pochodną po x
f``xy liczysz najpierw pochodną po x, potem z otrzymanego wyniku pochodną po y. :)
pozdro!
no nawet logiczne ;P
wielkie dzięki!
mam pewien problem z 1 zadankiem
mianowicie trzeba na oddzielnych rysunkach zacieniować podane zbiory do wzorów
jeden jest taki [(A-B) u (ten znak łuku do dołu, chodzi o tą sumę elementów) C]' (prim)
Jakby mnie ktoś naprowadził na dobrą drogę... jak to wykonać.
Wiem że to po przekształceniu chyba będzie A' - B' n (wspólny element) C'
No ja to robiłem krok po kroku, tak jak widzisz na rysunku. Najpierw różnica zbiorów A-B, później suma pierwszego wyniku i zbioru C, a na koniec dopełnienie tego co wyszło w kroku drugim.
I nie jest zamalowane całe B, zwróć uwagę.
a ten sam rysunek tylko inny przykład
(A u C)' = A n C'
Jak takie coś zrobić? (ostatnie pytanie i już będę kminił, bo nauczyciel nie za bardzo tłumaczy na lekcji :/)
edit: Jeżeli bym robił metodą Twoją (krok po kroku) to zamalowałbym na początku wspólny element dla a i c (nie prim) nie będący wspolnym el. dla B, a potem... właśnie co potem na pewno zamalowanie przestrzeni a oprócz niej? resztę oprócz tego punktu wspólnego dla A i C? proszę o wytłumaczenie krótkie :>
Ponownie, zaznaczasz krok po kroku. Mam nadzieję, że rozumiesz tak oddzielnie ideę sumy zbiorów, częsci współnej zbiorów i dopełnienia zbiorów? Powinny być intuicyjne, ale jeśli nie są, to tutaj: http://pl.wikibooks.org/wiki/Matematyka_dla_liceum/Liczby_i_ich_zbiory/Działania_na_zbiorach są całkiem prosto wytłumaczone.
Po lewej stronie masz rysowanie lewej strony równania. Po prawej prawej strony - przekształconej.
Po lewej: najpierw zaznaczasz sumę zbiorów A i C, czyli te punkty które są albo w A, albo w C. A później zaznaczasz dopełnienie, czyli wszystko to czego NIE zaznaczyłeś wcześniej.
Po prawej: najpierw zaznaczasz dopełnienie A (wszystko, co NIE JEST zbiorem A) oraz dopełnienie C (wszystko, co NIE JEST zbiorem C). Na koniec zaś szukasz części wspólnej tych dwóch zbiorów.
Jak widzisz, obojętnie czy będziesz rysował lewą stronę czy prawą - przekształconą, ostateczny wynik jest taki sam. (tylko że po prawej stronie powinno być (A' n C'), a nie (A n C'), jak napisałeś)
Witam. Mam może głupie pytanie, co do dziedziny funkcji. Znam wszystkie założenia, ale teraz pojawił mi się jeden przypadek i trochę mnie to zaskoczyło. Mianowicie.
Jeżeli w liczniku mam pierwiastek, np. pierwiastek z x+2, a w mianowniku normalne wyrażenie x^2+x, to jakie będą założenia, aby obliczyć dziedzinę funkcji?
Jeżeli byłoby odwrotnie, to wiadomo, że wtedy pierwiastek byłby nieujemny, ale w takim wypadku jak wyżej, jak to jest?
Na pozostałe przypadki znam załozenie, a to mnie jakoś zaskoczyło. Jakieś podwójne w klamerce trzeba? Wykorzystac, że x^2+x jest różne od 0?
Proszę tylko o dobre założenia. Z resztą sobie poradzę.
To co pod pierwiastkiem musi być większe od zera + to co na dole musi być różne od 0.
Dla uporządkowania: to co pod pierwiastkiem ma być nieujemne (większe lub równe 0), natomiast to co w mianowniku ma być różne od zera. Gdyby pierwiastek był w mianowniku (i tylko pierwiastek), to wówczas z połączenia powyższych warunków dostalibyśmy, że to co pod pierwiastkiem musi być większe od 0.
Pomoże ktoś?
w loterii jest 120 losow, w tym 20 wygrywających. Oblicz prawdop. wyciagniecia losu wygrywającego przy zakupie jednego lozu
Może jakaś wskazówka ja się do tego zabrać?:)
Matematyk ze mnie żaden, ale skoro losujemy raz to prawdopodobieństwo wynosić powinno: 1/6 (20 wygrywających / 120 losów ogółem).
Pierwsze co pomyślałem to właśnie tak jak Ty, ale czuję w tym zadaniu jakąś podpuchę. Hmm.
Jak dla mnie to kombinacja, czyli tak jak koledzy wyżej pisali.
Dziesięć osób (pięć dziewczyn) ma 10 biletów do kina, mających kolejne numery w jednm rzędzie. Ile mozliwości zajęcia przez tę grupę, jeżeli:
b) dziewczęta będą siedziały obok siebie, a chłopcy dowolnie
d) uczniowie zajmą miejsca tak, żę chłopiec i dziewczyna będą siedziec na przemian.
Zostały mi te dwa punkty wyżęj. Z innymi sobie poradziłem. Myślałem, że umiem, kombinuję i mi nie wychodzi. Jak się do tych dwóch punktów zabrać? Permutację stosuje i jakoś tak dziwnie mi wychodzi...
Ad. b) Dziewczęta na 6*5! sposobów, faceci w każdym przypadku na 5!, więc...
Ad. d) Dziewczęta na 5!, faceci na 5! i to wszystko jeszcze razy 2, bo dziewczęta mogą siedzieć albo na parzystych, albo nieparzystych.

pomożecie mi??
dany jest trójkąt prostokątny na którym opisany jest okrąg o promieniu 6 ,5 oblicz długość boków i promieniu okręgu wpisanego
Z Pitagorasa oblicz sobie boki trójkąta.
no właśnie z pitagorasa jakieś głupoty mi wychodzą może coś źle podstawiam??
Jeden bok to 13, drugi to t, trzeci 30-pierwszy-drugi.
a to t to co to przepraszam z góry ale matma to nie jest moja mocna strona
ej a 30 to skąd wiadomo jeszcze możecie mi powiedzieć??
a okey a mam pytanie jeszcze jak by nie było podanego obwodu mozna było by to obliczyć??
nie dałoby się.
układ równań który można napisać tutaj składa się z trzech równań, mamy trzy niewiadome: x y r, więc rozwiązanie istnieje. Gdyby obwód także był nieznany, mielibyśmy cztery niewiadome do trzech równań.
dobra to dzięki :p
Siemka. Proszę o rozwiązanie działan z Funkcji Trygonometrycznych. Ja zrobiłem do tego momentu co umiałem:) Legenda: p.p - pod pierwiastkiem
1. 1 - 3(p.p)/2 * 3(p.p)/2 =
2. 3(p.p) * 1 : ( 3(p.p)/3 * 1 ) =
3. 9 : ( 3(p.p)/2 * 3(p.p) ) =
4. 108 : ( 3(p.p) * 2(p.p)/2 ) =
5. 12 * ( 3(p.p) - 1/2 ) * ( 3(p.p)/3 + 3(p.p)/2 ) =
6. ( 2(p.p)/2 + 1 ) * ( 6 * 3(p.p)/2 - 3(p.p) ) =
Np. 3(p.p)/2 czyli w liczniku liczba 3 jest pod pierwiastkiem, a w mianowniku liczba 2 bez pierwiastka.
proszę o rozwiązanie zadania plis
dany jest trapez którego jedna podstawa jest dłuższa trzy razy od drugiej, a długość ramienia wynosi 7cm
a)oblicz obwód trapezu
B)oblicz jaką miarę ma odcinek łaczacy srodki ramion w tym trapezie
??
maciek1994xd ==> Radzę polubić geometrię, albo chociaż spróbować i jednak rozwiązywać takie zadania samemu. Po co? Choćby po to, aby ćwiczyć wyobraźnię. A przy pomocy tej wyobraźni zorientować się, że - tak jak Łysy napisał - podałeś za mało danych, bo "jedna podstawa 3 razy dłuższa od drugiej a ramiona równe 7" NIE DEFINIUJE JEDNOZNACZNIE TRAPEZU (po polsku: istnieje nieskończenie wiele RÓŻNYCH trapezów spełniających te warunki).
Mam jedno pytanko
Zadanie mamy takie : "Zaznacz w UW (Układ współrzednych) punkty, których wsp. x, y spełniają podane formy zdaniowe:
A) p (x,y): x - 2y = -3 ^ (koniunkcja czyli "i") 2x + y = 4
Wyliczyłem że x = 1 (zawsze można pod x chyba jeden podstawić w przypadku dwóch nie wiadomych i y = 2 ) Teraz takie pytanie mam na układzie zaznaczyć kropkę o danych 1,2 czy linię ukośną od 0 do tego punktu 1,2?
Dodam że nauczyciel kiepsko tłumaczy ;/
Samą kropkę.
szybkie pytanie: kiedy mnożę przez kwadrat mianownika?
W tramwaju jedzie 6 osób, wsród któych są Marcin i Agata. Oblicz prawdopodobieństwo tego, że Marcin i Agata wysiądą na ostatnim przystanku, jeśli do końca trasy zostały trzy przystanki.
Z pojemnika, w którym jest 8 kul białych i 24 kule zielone, losujemy 5 kul
Oblicz prawodopodobieństwo wylosowania 3 kul białych i 2 zielonych
Pomoc, potrzebna. To pierwsze z dwumianu Newtona policzyć czy jak? Drugie z tego samego skorzystać?
kolejny przykład związany z układem współrzędnych.
Taki oto przykład
g) v (x,y): x+y - 1 > 0 ^ (koniunkcja) -x + y + 1 > 0
Co trzeba z tym zrobić ? przekształcić lewą i prawą stronę tak aby po jednej stronie każdego z przykładu sam y został??? np. lewa strona x + y - 1 > 0 = y < -x + 1
W tramwaju jedzie 6 osób, wsród któych są Marcin i Agata. Oblicz prawdopodobieństwo tego, że Marcin i Agata wysiądą na ostatnim przystanku, jeśli do końca trasy zostały trzy przystanki.
M A (Marcin Agata i na dole przystanki na których wysiadają.
1 1
1 2
1 3
2 1
2 2
2 3
3 1
3 2
3 3
[152] Tak możesz zrobić. Potem rysujesz dwie funkcje i właściwie zaznaczasz obszar na układzie współrzędnych(nad lub pod linią). Część wspólna tych obszarów to rozwiązanie.

Czy dowod taki jak na zalaczonym obrazku moze byc poprawnym dowodem na to, ze pewna liczba jest granica pewnego ciagu? To co po prawej od nierownosci to niby n0, no ale czy n0 moze być zerem?
Pytałem już o to w tym temacie: https://www.gry-online.pl/forum/calki-i-inne-calki/zdb15a40?N=1
Potrzebuję dokładniejszego wyjaśnienia.
Możecie mi wytłumaczyć tak łopatologicznie, najprościej jak się da, co to jest całka? Jak się ją liczy? I tym podobne.

Witam. Możecie mi wyjaśnić po jednym z przykładów z zadania 1 i 2? Nie wiem jak odczytywać te współrzędne.
wektor = [przesunięcie w prawo, przesunięcie w górę]
Czyli jak masz początek wektora np.: punkt (2,4) i wektor [3,1] to koniec wektora to będzie punkt (2+3,4+1) czyli (5,5).
Rares - w tym watku co podales w 2 poscie masz odpowiedz
lopatologicznie, jest to odwrotnosc pochodnej
co jeszcze chcesz wiedziec?:D
[156]--> Wiesz co to wektor i jakie ma cechy? W Twoim przypadku wektor jest określony dwoma współrzędnymi: x i y. Każdy wektor ma początek i koniec. Odejmując od współrzędnych końca wektora, współrzędne początku otrzymujemy x i y. Czyli prościej mówić. Masz dwa punkty w układzie kartezjańskim. Np. (1,3) i (5,5). Pierwszy punkt jest początkiem a drugi końcem. Odejmujemy więc od końcowych początkowe w następujący sposób: [5-1, 5-3]. Otrzymujemy wektor o współrzędnych [4, 2].
W przypadkach z Twoich zadań.
Ad 1. obierasz sobie np. punkt (0,0) i on będzie początkiem Twojego wektora. Pierwsza współrzędna wektora wynosi 5 więc wektor będzie się kończył w miejscu gdzie na osi x widnieje 5. Druga współrzędna wektora wynosi 0. Jak łatwo zauważyć skoro współrzędna początku równa się 0 i współrzędna wektora równa się 0 to oznacza, iż wektor będzie się kończył w miejscu gdzie oś y wskazuje 0. Czyli zaczynasz rysować wektor w punkcie (0,0)i jedziesz po osi x do punktu (5,0) - wektor "nachodzi" na oś.
Ad 2. Wektor u ma współrzędne u = [3, 0]. Punkt, który stanowi początek tego wektora to (-7, 5) a koniec znajduje się w punkcie (-4,5). Wyliczając różnicę końcowego i początkowego otrzymujemy u = [(-4) - (-7), 5 - 5] czyli u = [3, 0]
Na końcu chciałbym napisać, ze jestem słaby w tłumaczeniu dlatego nigdy nie paliłem się do udzielania jakichkolwiek korepetycji ;)
Potrzebuję pomocy...
Litera X oznacza w liczbie 8257410X4 cyfrę dziesiątek. Jaką cyfre można wpisać w miejsce X, jeżeli liczba ta jest podzielna przez 4?
suma cyfr z niewiadomą wynosi = 31
Musi być podzielne przez 4, a 4 jest podzielne przez 2.
Suma cyfr w takim razie musi być podzielna przez 2 i 4?
Rozwiązania mam takie 1,3,5,7,9.
Liczba jest podzielna przez 4 jeżeli dwie ostatnie cyfry tej liczby są podzielne przez 4. Czyli X4 = 24, 44, 64 lub 84.
http://matematyka.pisz.pl/strona/1357.html
Czy rozwizanie na pewno jest poprawne?
W drugiej linijce po slowie "Dowód" przed drugim znakiem równości w tej linijce nie powinno byc czasem samego k zamiast k+1?
Dobra, juz nic.
wszystko jest w porządku:
wzór 3 przekształcasz na sumę: (1+2+3+...+k) + (k+1) i pierwszy składnik zastępujesz wg. wzoru 2.

Udowodnic za pomoca indukcji matematycznej, ze 2^n>n^2 dla n>=5.
Czy takie rozwiazanie jest akceptowalne?
edit: Mam nierownosc pierwsza, gdzie 2^n > n^2, a potem druga nierownosc, czyli 2^(n+1)>(n+1)^2. Ta druga nierownosc doprowadzam do takiej postaci, ze lewa strona nierownosci jest taka sama jak w pierwszej nierownosci. Jezeli wtedy prawa strona nierownosci drugiej bedzie mniejsza od prawej strony nierownosci pierwszej, wtedy mam gwarancje ze za kazdym zwiekszeniem liczby n otrzymam coraz mniejsza prawa strone nierownosci, co wynika z nierownosci po prawej stronie. A ze nierownosc po prawej stronie jest prawdziwa dla n > 2,41321..., to jest tez prawdziwa dla n>=5.
Jak zrobic to prosciej?
Udowodniłeś, że 2^n > n^2+2n+1 /2 < n^2 . Jak dwie skrajne mają się do siebie?
Dla pokazania błędnego myślenia:
a > b < c -co jest większe a czy c?
Udowodniłeś, że 2^n > n^2+2n+1 /2 < n^2 . Jak dwie skrajne mają się do siebie?
Założenie 2 kroku: 2^n>n^2
Czołem, może mi ktoś wyjaśnić na tych trzech przykładach jak wyznaczyć wskazaną wielkość ze wzoru bo jakoś tego nie kumam??
a) F = ma, a
b) E = mgh, h
c) P = W/t, t
[167] Ogólnie taki zapis: a > b < c nie jest poprawny. Nie można mieszać znaków większości i mniejszości, bo przy takim zapisie powinna działać zasada przechodniości np. a>3>b, co można zapisać jako koniunkcję: a>3 i 3>b, a więc: a>b.
Z: 2^n > n^2
T: 2^(n+1) > (n+1)^2
dla n=5: 2^5 > 5^2 = 32 > 25
dla n+1: 2^(n+1) = 2^n*2 > n^2*2 > n^2+2n+1 = (n+1)^2
# n^2 > 2n+1 = n^2-2n-1 > 0 = (n-1-pierw(2))*(n-1+pierw(2)) > 0, co jest prawdą dla n>=5, gdyż funkcja ta to parabola rosnąca w przedziale (1, +niesk) http://www.wolframalpha.com/input/?i=n%5E2+-+2n+-+1
Jak widać wyżej zadanie sprowadziliśmy do udowodnienia hasha # (podkreślenia) i przeszliśmy zgrabnie od strony lewej tezy do strony prawej wykorzystując założenie.
edit. [170] Seriously?
a) a = F/m
b) h = E/(mg)
c) t = W/P
171 - Że tak powiem ''lol''. Ja tu myślałem że to jakieś skomplikowane obliczenia, wzory, a tu proszę. W każdym razie dzięki:)
[171] Odnosnie tego mojego zadania, to co mozna o nim powiedziec? Banalnie proste, srednie, czy nawet trudne?
pajkul ==> Zamiast banalne/średnie/trudne użyłbym określenia: typowe (jak na indukcję). Choć już o oczko wyżej niż poprzednie ;)
Mam pytanie z rachunku prawdopodobieństwa, a dokładniej z rozkładu zmiennych losowych.
Jeżeli mam dwa ciągi liczb o rozkładzie normalnym x1 i x2 i dodam te liczby do siebie to jakie własności można zobaczyć na histogramie zmiennej y = x1 + x2?

Pomoże ktoś ze zadaniem z wielomianami bo juz mnie szlag trafia, pół godziny próbuję dojśc do tego jakim sposobem otrzymano takie rozwiązanie.
Polecenie Rozłóż wielomian na czynniki, wielomian na obrazku a rozwiązanie pod spodem, napisze ktoś jaką metodą otrzymano takie rozwoiąznie
x^6 + 6x^5 + x^5+ 6x^4 = x^4(x^2+6x + x + 6) = x^4(x+6)(x+1)
Albo zamiast takiego rozbijania:
x^6 + 7x^5 + 6x^4 = x^4(x^2 + 7x +6)
Liczysz deltę oraz pierwiastki równania kwadratowego i przedstawiasz to równanie w postaci iloczynowej - a(x - x1)(x - x2)

Korzystajac z twierdzen o arytmetyce granic ciagow obliczyc granice:
Jak sie za to zabrac?
edit: No dobra, mam mianownik dążący do nieskonczonosci, licznik rowny 6*sqrt(n)+1. Nic mi to nie mowi.
musisz przemnozyc to przez iloraz zlozony z takich samych pierwiastkow tylko miedzy nimi musi byc przeciwny znak - tutaj plus.

Dlaczego w tym przypadku nie moge po prostu podstawic jedynki? Moge to zrobic DOPIERO GDY wylacze (x-1) przed nawias w liczniku i mianowniku. W liczniku otrzymuje x^2+x+1, a w mianowniku x^3+x^2+x+1. Skad mam wiedziec ze akurat teraz moge podstawiac 1, skoro wczesniej nie moglem? Podstawiajac 1 otrzymuje, ze granica funkcji jest 3/4.
Jeżeli "podstawisz jedynkę" do wyjściowej formy, uzyskasz granicę typu 0/0, która nie jest dopuszczalnym rozwiązaniem. Zadanie wciąż można rozwiązać w ten sposób, posługując się regułą de l'Hospitala, ale wymaga to znajomości pochodnych.
Po redukcji wyrażenia i podstawieniu wartości otrzymujesz granicę 3/4, co nie wymaga już komentarza.
No dobrze, ale nie o to chodzi. Zdaje sobie sprawe, ze 0/0 jest tu niedopuszczalne (tylko dlaczego nie moge tego po prostu podstawic? Jak mam osadzic, kiedy i czy moge to zrobic?). Ale skad mam wiedziec, ze akurat po wyciagnieciu (x-1) z licznika i mianownika przed nawias otrzymam cos, gdzie pod x moge juz podstawic jedynke i otrzymam poprawne rozwiazanie?
[187] moja pani doktor od ćwiczeń mówi, że trzeba kombinować aż wyjdzie coś innego niż 0/0 :p
btw. najlepiej robić z de'Hospitala.
pajkul ==> Teoretycznie nie musisz wyłączać (x-1) i skracać przez to wyrażenie - reguła de l'Hospitala też siądzie. Ale zazwyczaj zaczynamy od próby skrócenia ułamka przez co się da, więc...

pomozecie mi rozwiązać równanie kwadratowe
x4-25x2+144=0
załączam wg jakiego wzoru ma być rozwiązane
[190]
x4-25x2+144=0
x4-9x2-16x2+144=0
x2(x2-9)-16(x2-9)=0
(x2-9)(x2-16)=0
x2-9=0 v x2-16=0
x2=9 v x2=16
x=3 v x=-3 v x=4 v x=-4
ej a pomożecie mi jeszcze rozwiązać
x4 +4x2-5=0
x4+5x2-14=0
x4+8x2+15=
chłopie masz sposób wytłumaczony, dostałeś kolejny przykład rozwiązany w [191], rozwiążemy kolejne i co, nadal nie będziesz umiał i po sprawdzianie będzie płacz. Ściśnij poślady i pokombinuj sam.
Proszę o sprawdzenie.
Dane mamy:
P(A')=0,4 P(B')=0,2 P(A iloczyn B)=0,5. Oblicz P(AuB)
P(A)= 1-P(A') = 1-0,4=0,6
P(B)= 1-P(B') = 1-0,2=0,8
AKSJOMAT ii => P(AuB) = P(A)+P(B) <=> AuB = 0,6+0,8 = 1,4
Gdzie robię błąd? Podejrzewam, że pewnie jest to coś z aksjomatem, ale gdzie robię błąd?
To chyba jest tak, że: P(A n B) = P(A) + P(B) - P(AuB). Ale dawno to miałem więc mogę się mylić.
Zgadza się. Dzięki.
ej ja mam pytanie do równań kwadratowych
x4-25x2+144=0
x4-9x2-16x2+144=0
x2(x2-9)-16(x2-9)=0
(x2-9)(x2-16)=0
x2-9=0 v x2-16=0
x2=9 v x2=16
x=3 v x=-3 v x=4 v x=-4
to pogrubione liczby to jak się dobiera??
Tak.
Jeżeli nie wiesz czy Ci dobrze wyszło to po prostu podstaw uzyskane x do pierwszego równania i zobacz czy będzie równe 0. A jeżeli już dobrze wyjdzie to znaczy, że dobrze rozwiązałeś :)
dzięki:p
czy mógłbym jeszcze prosić o rozwiązanie przykładu 4(x+1)2 -25 (tylko ten mi nie wychodzi na 10przykładów)
analogicznie do
(3x-5)² - 36 = 0
(3x-5)²-6² = 0
(3x-5-6)(3x-5+6)=0
(3x-11)(3x+1)=0
3x-11=0 v 3x+1=0
3x=11 v 3x = -1
tamto trochę nieczysto
(3x-5)2 - 36 = 0
(3x-5)2-6do kwadratu = 0
(3x-5-6)(3x-5+6)=0
(3x-11)(3x+1)=0
3x-11=0 v 3x+1=0
3x=11 v 3x = -1
4(x+1)^2 -25 = 0
4(x+1)^2 - 5^2 = 0
(2(x+1) -5)(2(x+1) + 5) = 0

ej moglibyście mi pomóc rozwiązać zadania podkreślone w załączniku ??
chodzi mi o to żeby tak początek do wyliczenia delty
maciek1994xd ==> A konkretniej w czym problem? W obustronnym podniesieniu do kwadratu? W wymnożeniu dwóch pierwiastków przez siebie? W wyliczeniu delty tego, co powstanie pod pierwiastkiem po owym wymnożeniu?
Dobry wieczór. Mam nadzieję, że ktoś poratuje i powie mi, czy dobrze podchodzę do zadania, czy może wszystko robię źle:)
Jest 4 chłopaków i 5 dziewczyn. Siadają w rzędzie z 9 krzesłami. Oblicz prawdopodobieństwo zdarzenia. A - dziewczyny nie siedzą obok siebie.
Czyli zaczynam od obliczenia wszystkich możliwości(siły omega). To będzie 9 silnia. Teraz obliczamy prawdopodobieństwo zdarzenia A, czyli - 5x4x4x3x3x2x2x1x1/9 silnia. Po skróceniu wychodzi mi 2/252. Dobrze myślę, czy klapa?
moc omegi to 9! a moc A to 5!*4!. Ludzie muszą siedzieć w takiej przeplatance - dziewczyna, chłopak, dziewczyna, chłopak... no i tych dziewczyn jest 5 a chłopaków 4. Liczysz to jako oddzielne podzbiory/rzędy/cokolwiek czyli liczysz na ile sposobów można ustawić 5 dziewczyn * na ile sposobów można ustawić 4 chłopaków.
A 5!*4! to dokładnie to co napisałeś :)
Pardon za małe opóźnienie, ale nową część założę jakoś w weekend (najpewniej będzie to sobota). No ale pomimo przekroczenia 'regulaminowej ilości postów' widzę, że nie ma większych problemów z ogarnięciem wątku.
ej pomożecie mi rozwiązać to zadanie (jestem chory, sidzę na chacie i próbuje robić zadania co moja klasa na lekcji)
okno ma kształt prostokąta zakończonego na górze trójkątem równobocznym obw=2m jaka powinna być długość podstawy prostokąta aby przy obwodzie=2m powierzchnia okna była największa oblicz powierzchnię tego największego okna
nie wiem wgl od czego zacząć
tzn umiem tylko rysunek zrobić
To teraz są jeszcz potrzebne oznaczenia na rysunku, np x i y: x-dla podstawy prostokąta i boku trójkąta, y dla drugiego boku.
Pole tego okna wyrazi się sumą pola prostokąta xy i trójkąta równobocznego o boku x.
Ponadto wzór na pole tego okna będzie funkcją kwadratową o ujemnym współczynniku przy x^2, więc ramiona funkcji będa skierowane w dół. Największe pole uzyskamy dla wierzchołka tej paraboli. Wierzchołęk możesz wyznaczyć np. wyznaczając miejsca zerowe funkcji, współrzędna x wierzchołka leży dokładnie między miejscami zerowymi, czyli możesz ją wyznaczyć wyliczając średnią arytmetyczną.
Mam rozumieć to w taki sposób?
(skoro n do kwadratu jest równy samemu n (bez pierwiastka) to w takim razie pierwiastek z pierwiastka n do kwadratu będzie równy pierwiastkowi jednemu z n?)
we wstępniaku jest coś takiego jak "Polecana notacja matematyczna", czasem warto z niej skorzystać, łatwiej wtedy o pomoc.
Pierwiastkowanie jest działaniem odwrotnym do potęgowania.
sqrt(4)=2 i 2^2=4
sqrt(9)=3 i 3^2=9
sqrt(n^2)=n i n^2=n^2 :)
sqrt(sqrt(n^2))=sqrt(n)
teraz zadanie z innej beczki mam usunąć niewymierność z mianownika
1/(3)sqrt(2) - 1
(pierwastek z dwóch trzeciego stopnia)
Masz takie magiczne coś jak wzory skróconego mnożenia.
a-b masz w mianowniku, chcesz mieć a^3 - b^3
a^3 - b^3 rozpisuję na = (a-b)(a^2 + ab + b^2) i potem a mnożę przez całą "prawą stronę" i b też?
Masz:
1/(a-b)
Aby mieć a^3 - b^3 musisz pomnożyć (a-b) przez (a^2 + ab + b^2) więc swój ułamek mnożysz przez:
(a^2 + ab + b^2)/(a^2 + ab + b^2)
może to rozpiszę, będzie łatwiej...
aaaa czyli mnoże tylko przez a^2 + ab + b^2???
ok,dzięki wyszło.
Synek...
Jeżeli a= (3)sqrt(2) to a^2 to nie jest (3)sqrt(8). Nie wiem skąd Ty te wzory bierzesz...
aaaa czyli mnoże tylko przez a^2 + ab + b^2???
Odpowiedź masz w [220]
predatronix ==> Mógłbyś wytłumaczyć co tam napisałeś? Bo kompletnie nie rozumiem skąd to się wzięło i co miało na celu (nadal masz niewymierność w mianowniku :P )
EDIT: Chyba już nieważne
w podręczniku mam taki wzór na a^3 - b^3 = (a-b)*(a^2 + ab + b^2) apropo Twojego pytania.
jeszcze tylko jedna prośba ->
pomóżcie mi to jakoś rozpisać. Jest jakiś wzór skróconego mnożenia z trzema wartościami?
np. a^3-b^3+c^3?
Nie, ale przypatrz się i zastanów co tam jest w tym mianowniku. Bo te wartości są takie śmieszne, nie? Trochę jakby podobne... albo powiązane w pewien sposób... ;) Jeżeli się nie uda, to niestety, ale to jest wina wyłącznie braków z wcześniejszej nauki (za mało zrobionych przykładów i niska biegłość w liczeniu)
Myślę że te podobieństwo polega na podstawie w pierwiastku (ale pewnie to będą brednie)
-3[3]sqrt(6) + [3]sqrt(6^2)
Chciałbym się dowiedzieć w czym tkwi ta podobizna :>
9 - 3*sqrt[3](6) + sqrt[3](36) = 3^2 - 3*sqrt[3](6) + (sqrt[3](6))^2
Już coś widać? Jak nie, to wpatruj się w powyższe oraz w jeden ze wzorów:
a^3+b^3 = (a+b)(a^2-ab+b^2)
a^3-b^3 = (a-b)(a^2+ab+b^2)
Sam dojdź do tego, który.
Ktoś mi wyjaśni od czego mam zaczać w tym przykładzie?
Od usunięcia niewymierności dla dwóch pierwszych wyrażeń?
Wspólny mianownik dla pierwszego i drugiego(czyli usunięcie niewymierności), potem wspólny z trzecim i tyle :)
Tak właśnie robię i wynik zły wychodzi
Ale jeszcze metodą prób i błędów postaram się to zrobić...
Tak na szybkiego, między ziemniakiem a kotletem, wyszło mi 11/4. Ile powinno wyjść?
brawo Tomazzi - 11/4 to dobry wynik :) Na szybkiego ;d.
rozumiem że mam dla każdej z pierwszych dwóch wartości odrębną niewymiernośc usunąć?
(tzn. jak w pierwszym jest pierwiastek z 3 - 1 to mnoże to przez pierwiastek z 3 + 1/pierwiastek z 3 + 1 i na odwrót dla drugiej wartości?)
najpierw wzór: a^2 - b^2 = (a-b)(a+b)
tak, w pierwszym ułamku mnożymy licznik i mianownik przez (sqrt(3)+1), w drugim przez (sqrt(3)-1),
potem trzeba doprowadzić mianowniki wszystkich ułamków do 4, ale to z tym już problemów mieć nie powinieneś.
wychodzi mi 11+4sqrt3/4
coś chrzanię, ale cholera jasna nie wiem co.... :/
teraz wyszło 11+sqrt3/4
niech mi ktoś rozpisze jak to ma wyglądać bo albo popełniam błąd rachunkowy albo coś - proszę!
eh.
[2/(sqrt(3)-1)] - [1/(sqrt(3)+1)] + [(5-2sqrt(3))/4]= (usuwamy niewymierności)
[2(sqrt(3)+1)/2] - [(sqrt(3)-1)/2] + [(5-2sqrt(3))/4]= (mnożymy dwa pierwsze ułamki przez 2/2)
[4(sqrt(3)+1)/4] - [2(sqrt(3)-1)/4] + [(5-2sqrt(3))/4]= (tworzymy superułamek)
[4(sqrt(3) + 4 - 2sqrt(3) + 2 + 5 - 2sqrt(3)] /4=11/4 (podziwiamy dobrze rozwiązane zadanie)
to skoro mnożymy przez 2/2 to czemu nie pomnożyłeś również 1 tylko same pierwiastki?
i skąd Ci się wzięła czwórka w ostatnim zdaniu?
jak masz [4(sqrt(3) + 4 - 2sqrt(3) + 2 + 5 - 2sqrt(3)] /4=11/4 (podziwiamy dobrze rozwiązane zadanie)
chyba Ty zrobiłeś błąd bo jak było usuwanie niewymierności to w drugiej linijce na początku powinno być 2sqrt3+2 a nie +1.
Dzięki za naprowdzenie mnie do rozwiązania :>
eh eh.
wkradł mi się niedomknięty nawias, którego nie usunłąłęm po kolejnym ctrl+c, ctrl+v
[4sqrt(3) + 4 - 2sqrt(3) + 2 + 5 - 2sqrt(3)] /4=11/4 (podziwiamy dobrze rozwiązane zadanie)
chyba Ty zrobiłeś błąd bo jak było usuwanie niewymierności to w drugiej linijce na początku powinno być 2sqrt3+2 a nie +1.
2(sqrt(3)+1) to to samo co 2sqrt3+2.
pozdrawiam.
racja, nie zauwazylem ze ta dwójka była przed nawiasem (wyłączenie)
Moja wina, przepraszam.
Pomógłby ktoś z zadaniem?
Muszę rozwiązań nierówność, a przedziały zapisać w postaci nierówności z x.
Taki przykład: x < x^2
czesc, mam przyklad:
4x^2-12x+9>0 i z tego delta wychodzi 0, i x=3/2 czyli 1,5,
więc czemu nie jest x nalezy do R(1,5;+00) tylko x nalezy do R\‹1,5› - tak jest w odp. ?
ed. dzięki, już wiem o co chodzi :)

Narysuj sobie to na wykresie. Współczynnik "a" jest dodatni, a więc ramiona paraboli są zwrócone w górę. Jest ">", czyli bierzesz to, co jest nad osią. A za wyjątkiem 1,5 dlatego, że jest ">0", czyli zbiór otwarty, więc "1,5" nie należy do tego zbioru. Gdyby było ">=", to wtedy byłby zbiór liczb rzeczywistych. Pokażę Ci zaraz na osi.
EDIT: Trochę krzywa, ale powinieneś wiedzieć z tego rysunku wszystko.
[242]
przerzuć wszystkie wyrazy na jedną stronę, potem wyciągnij x przed nawias, i masz na tacy dwa miejsca zerowe funkcji kwadratowej, współczynnik "a" znasz, więc robisz poglądowy rysunek i zapisujesz odpowiedź ;]
Ps: Mam nadzieję, że nic nie pokręciłem w [244]. Jaki jakiś błąd, to poprawcie, bo mogłem pozapominać stare, dobre czasy :P
O ile dobrze rozumiem...
0 < x^2 - x
0 < x (x - 1)
Miejsca zerowe x = 0 lub x = 1
Dalej się gubię. Nie wiem ile wynosi a, nie wiem jak ma wyglądać rysunek, a muszę zapisać rozwiązanie (przedziały) jako nierówności z x.
wiesz ile wynosi a.
wzór: a*x^2+b*x+c
pytanie: Co mówi nam wartośc współczynnika a o wyglądzie paraboli(odp. w 244)?
Idąc dalej, gdy już wiesz jak ma być skierowana parabola i gdzie się przecina z osią x(miejsca zerowe) robisz rysunek i odczytujesz odpowiedni przedział.
Masz miejsca zerowe 0 i 1 (strzelałem na oko). Nanosisz je na oś, tak jak w [244]. Współczynnik a (dodatni/ujemny) odczytujesz z x^2. I jeżeli jest dodatni to ramiona w górę, jeżeli ujemny, to w dół. Potem bierzesz to, co wskazuje nierówność ( >0, to nad osią, jeżeli <0, to pod osią).
EDIT: Spróbuj sam rozwiązać, a my sprawdzimy, czy wyszło Ci dobrze.
Ok, naniosłem punkty, ramiona w górę (bo nie widziałem minusa przy x^2). Wyznaczyłęm dwa przedziały (-niesk, 0) u (1,+niesk) - czyli to ponad osią i <0, 1> - czyli to pod osią. No i nie wiem co dalej... Mam poczucie bezsilności, bo mam same iksy przed oczami, mało liczb i nawet nie rozumiem polecenia. :(
Sorry, że tak późno odpowiadam, ale coś mi wypadało. Żeby nie było, że tak długo myślę. :)
PS: Chodzi o to, że mam teraz zapisać to jako x > 1 u x < 0 albo 0<x<1?
A po co to, co jest pod osią? Przecież masz w zadaniu, że x^2-x jest większe od zera (>0), czyli bierzesz to, co jest nad osią.
Jeżeli Ci wyszło x należy (- oo,0) u (1, +oo), to zapisując to w postaci nierówności z x, to będziesz miał: x<0 v (lub) x>1.
Jeżeli tego nie widzisz, to na chłopski rozum, wstaw sobie "x" między dwie liczby w danym przedziale i widzisz, gdzie co jest. Wstaw sobie w myślach ten x między "nieskończoność" i "0".
Dzięki. Teraz rozumiem!