
Całka Oznaczona?
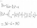
Siedzę nad całkami cały dzień i możliwe, że już się przegrzałem- ale wytłumaczy mi ktoś jak ta całka może się równać 27?
No jak nic wychodzi 30, ale odpowiedzi twierdzą co innego.
Calka z 1/2 po dx to 0,5x a nie x.
Czyli:
Calka(4x+0,5)dx = 2x^2+0,5x+C